

1.整体结构递进性强:本题围绕一条抛物线展开,分为两小问。第一问聚焦抛物线解析式求解与和与x轴交点坐标计算;第二问则以抛物线上特定线段关系为核心,设置了三个子问题,从线段长度倍数关系到线段最值,再到根据线段长度范围求参数取值范围,层层递进。
2.考查知识点深入:
A. 二次函数的基本形式与待定系数法:第一问要求用顶点式设出抛物线解析式,再结合已知点坐标确定系数,这考查了对二次函数顶点式的掌握以及待定系数法的运用。
B. 二次函数与坐标轴的交点:求与x轴交点坐标需令y=0,解一元二次方程,考查了对函数与坐标轴交点概念的理解及方程求解能力。
C. 二次函数的图象与性质应用:第二问中,通过点的坐标表示线段长度,将线段关系转化为函数关系,利用二次函数的性质求最值以及根据函数值范围确定自变量取值范围,综合考查了二次函数的增减性、最值等核心性质,同时也涉及到代数式的运算与变形。
3.题目难度与思维层次分析
A.难度梯度:整体难度中等偏上。第一问相对基础,只要熟悉顶点式和待定系数法就能解决;第二问则具有一定挑战性,需要学生具备较强的代数变形能力和对二次函数性质的灵活运用能力。三个子问题难度逐步提升,从简单的倍数关系判断到最值求解,再到范围确定,思维层次不断加深。
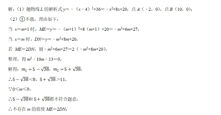
B.思维能力考查:逻辑推理能力:在判断线段ME是否为线段DN长度的2倍时,需要根据点的坐标求出线段两端点纵坐标,进而表示出线段长度,再通过列方程求解,这一过程需要严谨的逻辑推导。数学建模能力:将线段长度问题转化为二次函数问题,建立函数模型来求最值和参数范围,体现了数学建模思想,要求学生能够把实际(或几何)问题转化为数学问题进行处理。 运算能力:在求线段长度、函数最值以及解不等式确定参数范围时,都涉及到较多的代数运算,如整式的乘法、配方、解一元二次方程和不等式等,对学生的运算准确性和速度有一定要求。
4.教学启示与建议
1.知识巩固方面:对于二次函数的基本形式、待定系数法、与坐标轴交点等基础知识,要让学生熟练掌握,通过大量基础练习强化记忆与运用能力。例如,在讲解顶点式时,可以多举不同顶点坐标的例子,让学生反复练习设解析式和求系数。
2.思维能力培养方面:针对本题所涉及的逻辑推理、数学建模和运算能力,在日常教学中要有针对性地训练。比如,在讲解函数与几何综合问题时,引导学生如何从几何图形中提取函数关系,如何将函数问题转化为几何问题进行分析,培养学生的转化思想和逻辑思维。对于运算能力的提升,要注重运算技巧的讲解和练习,如配方法、简单的十字相乘法等的熟练运用、因式分解在解方程中的应用等,同时要求学生养成认真审题、仔细计算的习惯。
3.解题方法指导方面:在面对这类综合性较强的二次函数问题时,要教会学生学会拆解问题,将大问题分解为一个个小问题逐步解决。例如,第二问的三个子问题,先解决第一个关于线段倍数关系的问题,掌握方法后再去攻克最值和范围问题。同时,要引导学生总结解题方法和规律,如在求二次函数最值时,何时用配方法,何时考虑自变量的取值范围对最值的影响等。
总体而言,本题是一道典型的二次函数综合题,全面考查了二次函数的相关知识和学生的多种数学能力。它既注重基础知识的考查,又有一定的思维拓展和能力提升要求,对于学生巩固二次函数知识、提升数学素养具有很好的训练价值,也为教师的教学提供了明确的方向,即要在基础知识教学和思维能力培养方面双管齐下,帮助学生更好地应对这类综合性问题。


