从2023数学高考阅卷,数学的表达太重要了

四季读书网 52 0
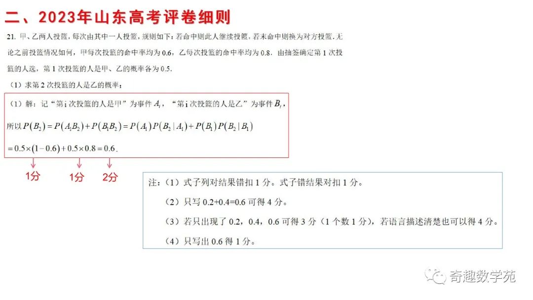
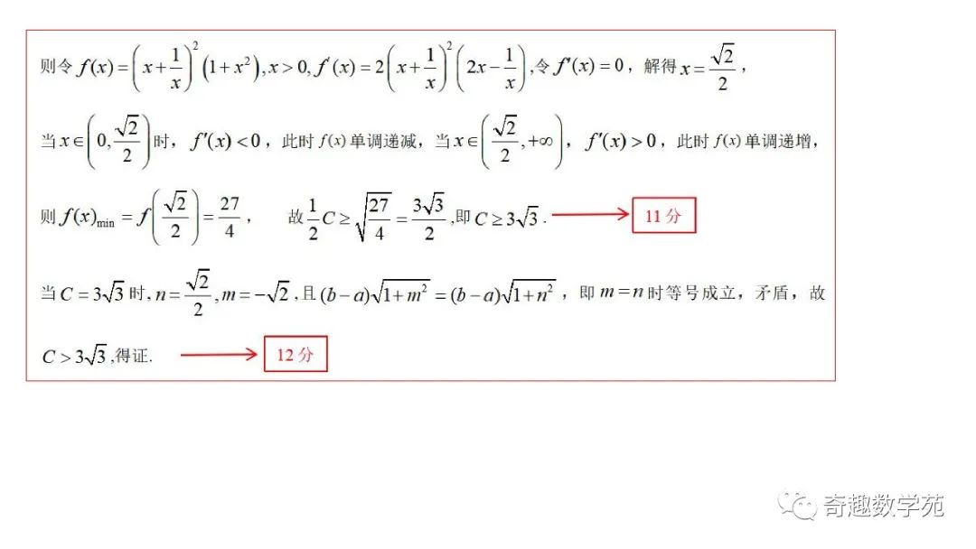
新高考题型里面有5道大题77分,如何有序思考,准确计算,规范、严谨表述,是满分的关键,下面是转发2023山东高考阅卷标准,值得研究

从2023数学高考阅卷,数学的表达太重要了 第1张

从2023数学高考阅卷,数学的表达太重要了 第2张

从2023数学高考阅卷,数学的表达太重要了 第3张

从2023数学高考阅卷,数学的表达太重要了 第4张

从2023数学高考阅卷,数学的表达太重要了 第5张

从2023数学高考阅卷,数学的表达太重要了 第6张

从2023数学高考阅卷,数学的表达太重要了 第7张

从2023数学高考阅卷,数学的表达太重要了 第8张

从2023数学高考阅卷,数学的表达太重要了 第9张

从2023数学高考阅卷,数学的表达太重要了 第10张

从2023数学高考阅卷,数学的表达太重要了 第11张

从2023数学高考阅卷,数学的表达太重要了 第12张

从2023数学高考阅卷,数学的表达太重要了 第13张

从2023数学高考阅卷,数学的表达太重要了 第14张

从2023数学高考阅卷,数学的表达太重要了 第15张

从2023数学高考阅卷,数学的表达太重要了 第16张

来源群友分享,若侵留言删除

从2023数学高考阅卷,数学的表达太重要了 第17张

从2023数学高考阅卷,数学的表达太重要了 第18张

从2023数学高考阅卷,数学的表达太重要了 第19张

从2023数学高考阅卷,数学的表达太重要了 第20张

从2023数学高考阅卷,数学的表达太重要了 第21张

从2023数学高考阅卷,数学的表达太重要了 第22张

从2023数学高考阅卷,数学的表达太重要了 第23张

从2023数学高考阅卷,数学的表达太重要了 第24张

从2023数学高考阅卷,数学的表达太重要了 第25张

从2023数学高考阅卷,数学的表达太重要了 第26张

从2023数学高考阅卷,数学的表达太重要了 第27张

从2023数学高考阅卷,数学的表达太重要了 第28张

从2023数学高考阅卷,数学的表达太重要了 第29张

从2023数学高考阅卷,数学的表达太重要了 第30张

2024届高三易错题梳理(word解析版可下载)
2月份新题型8335优秀模拟题汇编
精选3月份上优秀模拟题60套可下载
精选3月份下优秀模拟题60套可下载
精选2024年4月上新题型(8335)模拟题60套可下载

抱歉,评论功能暂时关闭!