

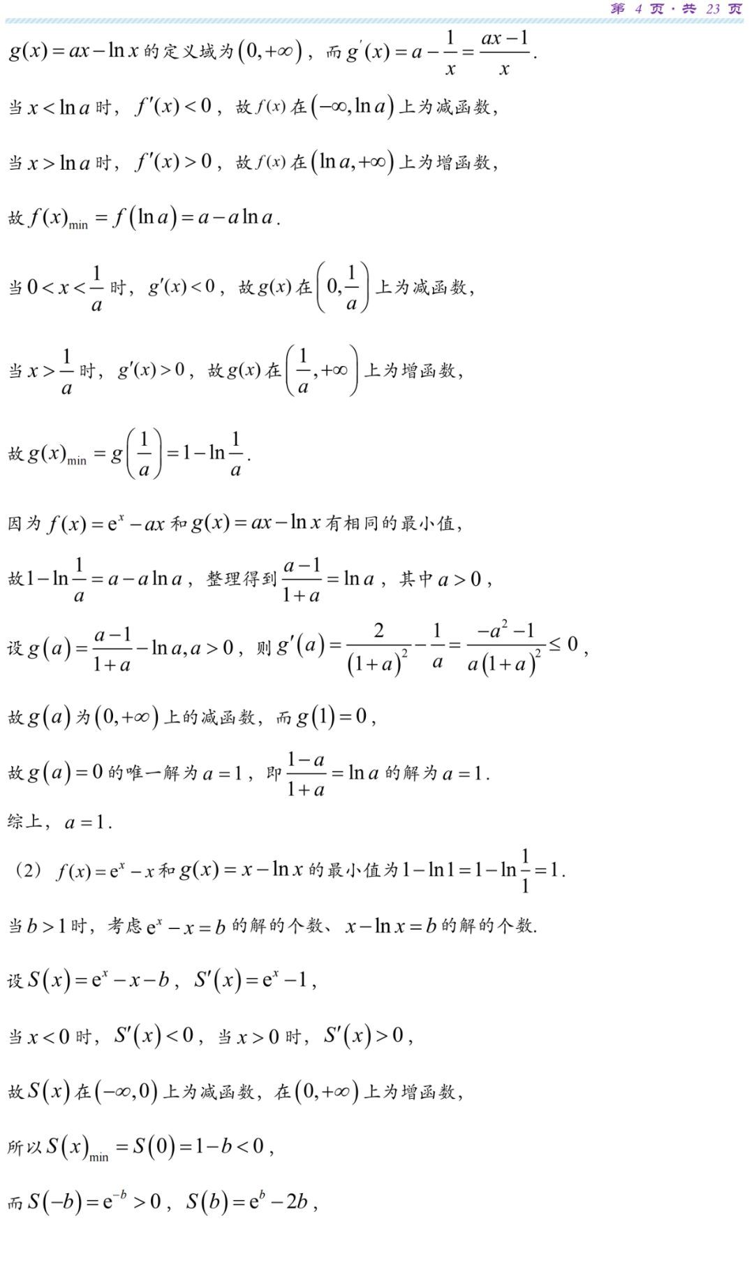
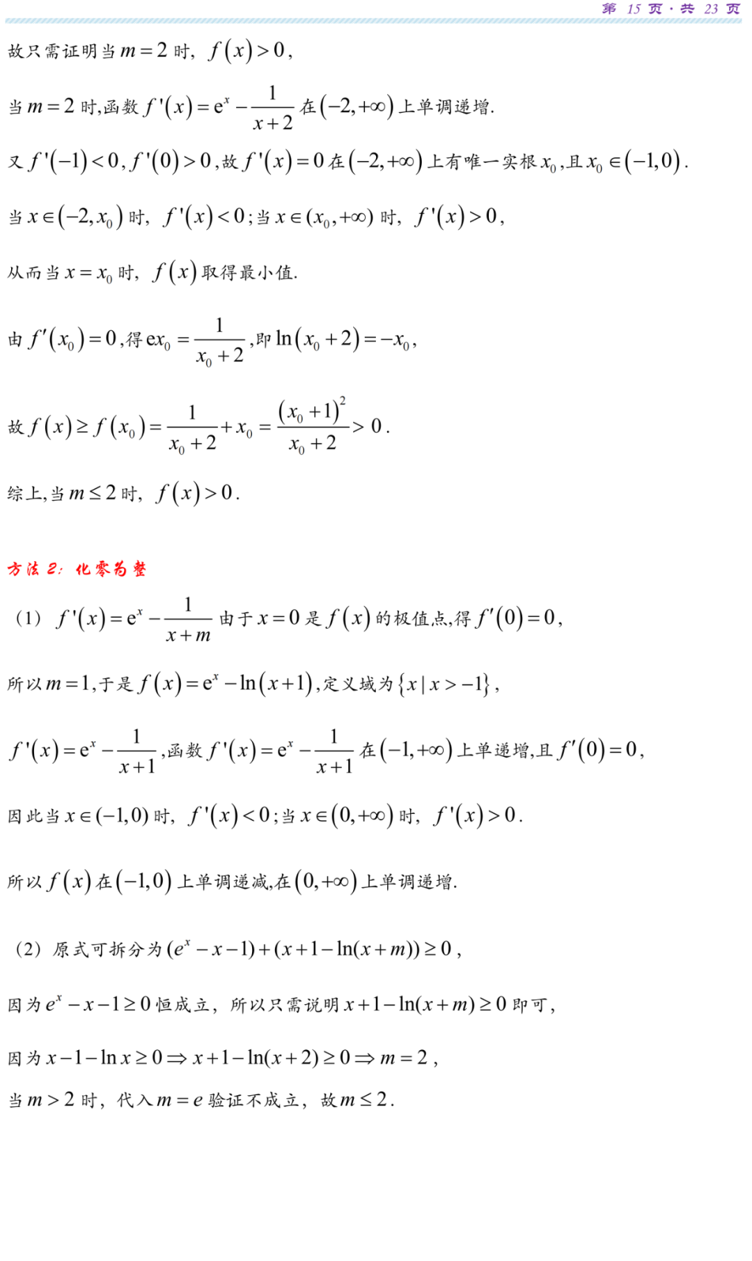
指数对数共生同构

























【投稿须知】公众号《许兴华数学》诚邀全国各地中小学数学教师、教研员和数学爱好者热情投稿!来稿时请注意以下五点:
(1)来稿请注明真实姓名、工作单位、联系方式(无具体工作单位和真实姓名的投稿,一般都不会采用)。
(2)来稿一般要求同时用word文档和PDF格式的电子稿件(防止不同版本的Word打开时出现乱码)。另外,也接受少数著名教师的手写稿(手写稿必须清晰可读)。
(3)每篇文章请认真审查复核,防止错误发生,来稿文责自负。如有抄袭,则有可能被举报并受到有关著作版权部门的追责。
(4)投稿邮箱:chinamatha@163.com;或加主编微信xuxinghua168投稿(加时请注明:投稿).(5)本公众号对优秀作者和名师一般会附上“作者简介”,以让广大读者更好地了解作者的研究成果和方向,以便进一步学习作者的相关数学思想或解题方法。

许兴华:从《2020年清华大学强基计划数学试题》的部分题型谈数学学习的体会
黎福庆——把握课标要求.理解教材内涵.落实核心素养(新课标学习与探索)
【教育博览】“一半学生上不了普通高中!”教育部门又发通知,家长炸锅了!
【解题研究】平面向量"最值问题"常见的八大题型——每一种方法都要掌握
【重磅】教育部推出国家中小学网络云平台,所有科目的名师课程视频全部免费在线学习
高考数学压轴题05:用导数研究函数的单调性、极值与最值问题(高考研究.共9讲)
【最新参考】2021年高中数学最新教材-新高考人教A版详细目录和详细内容
【最新参考】2021年高中数学最新教材-新高考人教A版详细目录和详细内容
2021年7月清华大学(新高考版)中学生学术能力测试数学试题与解析
北大数学天才韦东奕:不看电视不用微信,爱听收音机!去年还穿着高中校服!初中作文曾把老师看晕
【教育博览】2021新高一:中西部七省高考秋季或将开启3+1+2模式!新高考模式最全解读!
许兴华——从《2020年清华大学强基计划数学试题》的部分题型谈数学学习的体会
【教育博览】尖子生的秘密:连晚上学习都是有套路的!很实用,转给孩子吧!
【高考志愿】超好高考志愿填报攻略!别让孩子的分数毁在报志愿上,转给高考生
【太重要了】高考志愿这么填,等于多考20分,特级教师为你支招!
北大数学天才韦东奕:不看电视不用微信,爱听收音机!去年还穿着高中校服!初中作文曾把老师看晕
【高考研究】2021年高考数学很有可能要考的80道题! 认真看了才知道命题有这些规律...
公众号《许兴华数学》近年(2018~2021年)“高考研究”与“数学解题”优秀文章136篇选读
【高考专栏(九科全)阅读链接】
【高考专栏1】高考数学用60秒快速做选择题的“无耻”得分法,只能帮到这里啦!
【高考专栏3】高考物理重难知识点题型~解题技巧全汇总,超实用!
【高考专栏4】高中化学高分策略:各题型答题套路+必备解题技巧汇总
【高考专栏5】高考英语近五年完形填空最全解题技巧,看完再涨30分!
【高考专栏7】高考历史高分答题技巧和攻略!名校学霸的总结哦!值得阅读!
【高考专栏8】高考地理技巧:26个常见专题详细答题模板!要不要认真看看?
【珍贵收藏】2020年全国各地高考数学真题汇编.含详解161页
【教育博览】衡水教师指导:月考试卷这样分析,成绩才会一次比一次高!
【惊雷!】超4成是博士!深圳中学新入职“豪华”教师阵容,网友看后震惊了!
庞景生—— 一道条件二元最值题的变式探源及10种解法(一题多解)
许兴华——2021新年数学趣题新编:同学们,瞧瞧你能做出几题?
2021央视春晚中的高考考点,各学科名师熬夜整理!务必收藏!
湖北省钢城四中2019年高一上学期期中考试数学试卷 Word版含答案

