
分析过程:
1.分析题干信息:
(1)为自然数,则考虑从0开始取值。
(2)为正整数,则说明最高此项系数为正整数。
(3)为整数,则考虑正整数、负整数、零。
(4),则非负,且越大,越大。
2.分析问题方向:
①因越大,越大,为三项式,则当时,最小。
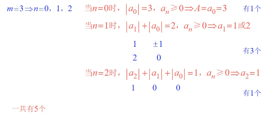
②,则,n=0,1,2进行列举。
③关于得二次函数与轴有交点,则.
解答过程:
对于①:

故①正确。
对于②:

故②正确。
对于③:

故③正确。
综上,正确的说法有3个。
小结,其实这类题最重要的还是要对条件进行分析,这样才能找到属于每一个提自身的规律。我们不妨再看一个变式:

我们下期揭晓答案!
关注我,每天研透一道中考题。
文章来源:
四季读书网
版权声明:本文内容由互联网用户自发贡献,该文观点仅代表作者本人。本站仅提供信息存储空间服务,不拥有所有权,不承担相关法律责任。如发现本站有涉嫌抄袭侵权/违法违规的内容, 请发送邮件至23467321@qq.com举报,一经查实,本站将立刻删除;如已特别标注为本站原创文章的,转载时请以链接形式注明文章出处,谢谢!