


4月结束了,湖北各地分别独立开展的高三4月调研模拟考试也已全部结束,其中武汉高三四调、襄阳4月调研考试试卷及答案已在本号内发布。
以下为湖北孝感4月统考试题及答案,如需PDF文档,可关注文末提示!

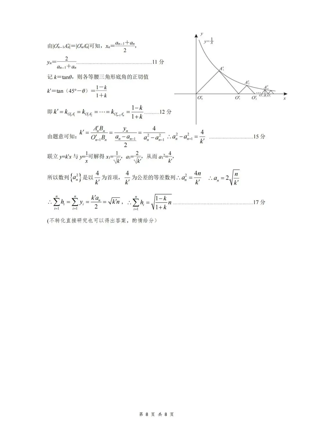
01 数学试卷




02 参考答案








同学们,你们考得咋样?
长期更新湖北高三考生相关资讯
试卷及答案PDF文件
请扫以下二维码发送!
养家不易,辛苦码字,试卷有偿提供
介意者勿扫
单科1元(含答案)
九科全套8元(含答案)
Q
Q
扫
码




文章来源:
四季读书网
版权声明:本文内容由互联网用户自发贡献,该文观点仅代表作者本人。本站仅提供信息存储空间服务,不拥有所有权,不承担相关法律责任。如发现本站有涉嫌抄袭侵权/违法违规的内容, 请发送邮件至23467321@qq.com举报,一经查实,本站将立刻删除;如已特别标注为本站原创文章的,转载时请以链接形式注明文章出处,谢谢!