

关注:香涛书院
一对一个性化、定制化补习的最佳选择
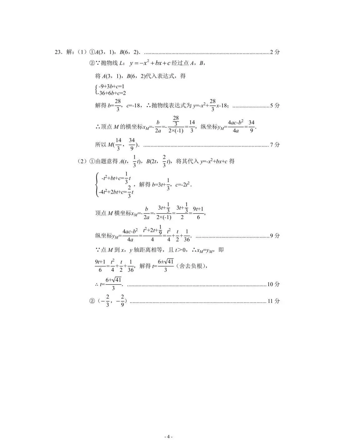
2026年4月29日河北省石家庄市中考一模数学试卷含答案





















![]() |
![]() |
![]() |
![]() ![]() |
![]() ![]() ![]() |
--END--
(免责声明:本文素材来源网络,由香涛书院整理,侵删。)


香涛书院特色:
1、专注初中一对一个性化、定制化辅导,与学校课程配合,展现合力的教学理念。
2、独特的5W1H教学法,独创课程体系,自主研发的紧扣考点的配套教案.
3、充分挖掘学生的学习能力,进行靶向定位的强化训练,专业授课,全程进行监督指导.
4、个性化特色教育,真正的因材施教,以学定教的课外辅导.
5、兼有线上一对一辅导课程,保证学习质量,跨越空间限制,让孩子全面提升有保障。
提分热线:
15847462008(同微信)李老师
往期精彩推荐:
免费课程 | 香涛书院分享国家中小学智慧教育平台同步视频课程
文章来源:
四季读书网
版权声明:本文内容由互联网用户自发贡献,该文观点仅代表作者本人。本站仅提供信息存储空间服务,不拥有所有权,不承担相关法律责任。如发现本站有涉嫌抄袭侵权/违法违规的内容, 请发送邮件至23467321@qq.com举报,一经查实,本站将立刻删除;如已特别标注为本站原创文章的,转载时请以链接形式注明文章出处,谢谢!







