广州初二,HF期中考,压轴好难啊~

四季读书网 7 0
广州初二,HF期中考,压轴好难啊~
今晚刷了HF期中卷,1-24挺舒畅的,特别24题很好,有坑。因为基础题都大同小异,很常规,没什么亮点。接下来我只PO他们大小压轴。25真的好难。
广州初二,HF期中考,压轴好难啊~ 第1张
10题,练过类似的,我们那时候用4次方,有巧妙法和硬算。娃们都表示硬算在考场更靠谱。所以,这题真的就拿草稿纸一步一步算。
广州初二,HF期中考,压轴好难啊~ 第2张
广州初二,HF期中考,压轴好难啊~ 第3张
16题难度很低了,选124.
广州初二,HF期中考,压轴好难啊~ 第4张
24题出得很好,难度不高,非常友好。特别最后一问,非常妙,因为需要检查。x不能等于4.
广州初二,HF期中考,压轴好难啊~ 第5张
广州初二,HF期中考,压轴好难啊~ 第6张
25题很难,正常情况下,写完(1)就可以结束了。常规题,习题也练过。他们垂直且想等。
后面真的不好想。
一般娃到此可以跳过以下黑字。
接下来分析(2)
因为要算面积,自然要延长PD,交EQ于I,QI是高,PD是底。因为这题有正方形,所以存在大量的三垂直。顺便过A做MD垂线。如下图。
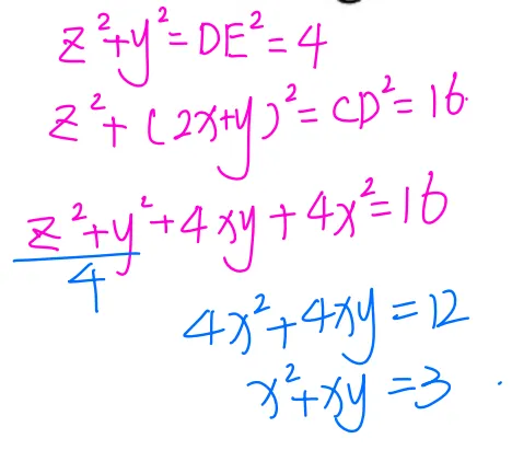
因为好多全等,我需要设x,y,z去表达对应边长。S=二分之一x(x+y)
这时候找到x,y,z和AB,GD边长关系。化简后,面积就出来了。
广州初二,HF期中考,压轴好难啊~ 第7张
广州初二,HF期中考,压轴好难啊~ 第8张
(3)辅助线很多,也很不好想。慢慢的复古味道。
我是怎么想到的,我想,这份卷子的出题人是HF。N多年以前带集训队,还残留点肌肉记忆,我觉得这题可能要扯上正方形ABCD,DEFG的中心,因为我刷过奥考卷,就有这样的题。所以联想到下面的辅助线。
广州初二,HF期中考,压轴好难啊~ 第9张
从而得到:
广州初二,HF期中考,压轴好难啊~ 第10张
我觉得它也有一点2011年压轴题的味道。(想必娃们还没或刚出生吧?)
广州初二,HF期中考,压轴好难啊~ 第11张
总结:
如果排除25的(2)(3)。全卷难度其实不高,挺好做的。
稍微复杂点就是10. 稍微坑人的就是24. 其他没啥重点亮点。但整体做起来还是挺舒服的。源文件不发了,如果想练,直接复制上述原图即可。
以上,
我是包sir,特长中高考,坐标广州天河,感谢阅读!
广州初二,HF期中考,压轴好难啊~ 第12张

抱歉,评论功能暂时关闭!