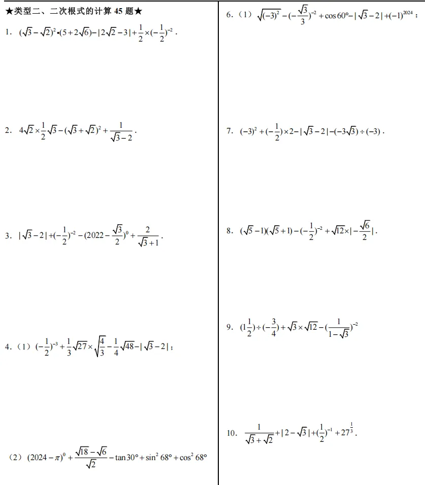
中考基础计算400+题(适用于基础薄弱生)

四季读书网 2 0
中考基础计算400+题(适用于基础薄弱生)
中考基础计算400+题(适用于基础薄弱生) 第1张
为没有目标,不知如何下手的孩子提供针对性资料,提高数学分数!
本打卡文档适用于:
1.日常测试60分以下同学;
2.临近中考,数学想要有所提升的同学;
3.必须能够坚持做题的同学;
4.有需要的可留言加我发送文档;
5.有问题,可v答疑!非诚勿扰!
中考基础计算400+题(适用于基础薄弱生) 第2张
中考基础计算400+题(适用于基础薄弱生) 第3张
中考基础计算400+题(适用于基础薄弱生) 第4张
中考基础计算400+题(适用于基础薄弱生) 第5张
中考基础计算400+题(适用于基础薄弱生) 第6张
中考基础计算400+题(适用于基础薄弱生) 第7张
中考基础计算400+题(适用于基础薄弱生) 第8张
中考基础计算400+题(适用于基础薄弱生) 第9张
中考基础计算400+题(适用于基础薄弱生) 第10张
中考基础计算400+题(适用于基础薄弱生) 第11张
获取更多资料2步走:
1、关注小弋老师,点赞和小爱心哦,谢谢支持
小弋老师日常分享资料,感谢您的支持!
2、加可答疑(非诚勿扰):
中考基础计算400+题(适用于基础薄弱生) 第12张

抱歉,评论功能暂时关闭!