上海市交大附中高二数学月考试卷及答案(2026.4)

四季读书网 1 0
上海市交大附中高二数学月考试卷及答案(2026.4)
上海市交大附中高二数学月考试卷及答案(2026.4) 第1张
上海市交大附中高二数学月考试卷及答案(2026.4) 第2张
上海市交大附中高二数学月考试卷及答案(2026.4) 第3张
上海市交大附中高二数学月考试卷及答案(2026.4) 第4张
上海市交大附中高二数学月考试卷及答案(2026.4) 第5张
上海市交大附中高二数学月考试卷及答案(2026.4) 第6张
上海市交大附中高二数学月考试卷及答案(2026.4) 第7张
上海市交大附中高二数学月考试卷及答案(2026.4) 第8张
上海市交大附中高二数学月考试卷及答案(2026.4) 第9张
上海市交大附中高二数学月考试卷及答案(2026.4) 第10张
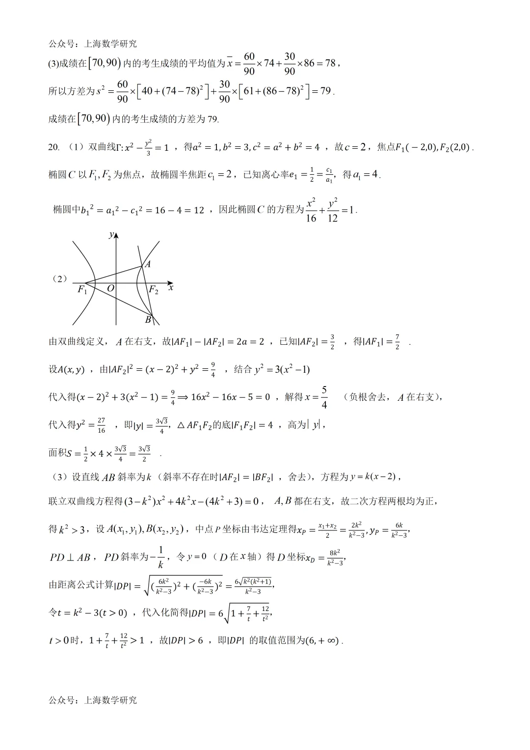
上海市交大附中高二数学月考试卷及答案(2026.4) 第11张
上海市交大附中高二数学月考试卷及答案(2026.4) 第12张
上海市交大附中高二数学月考试卷及答案(2026.4) 第13张

抱歉,评论功能暂时关闭!