本节课板书以 “诊断错因 — 提炼方法 — 优化思维 — 提升素养”*为主线,突出 “以学为本、以思为核”,整体设计体现四大理念:
1. 以错促学,靶向讲评,不做无效重复
板书聚焦高频错题、典型错点、易混易错题型,不面面俱到、不平均用力,抓住学生真正的思维卡点,让讲评更精准、更高效。
2. 突出思路可视化,让思维看得见
板书把审题切入点、转化路径、方法选择、思想方法清晰呈现,让学生看到 “怎么想”,而不只是 “怎么算”,实现思维过程显性化。
3. 强化 “多思少算”,优化解题策略
本节课最核心的设计导向,就是引导学生先观察结构,再选择方法;先想几何意义,再动笔硬算;先找转化关系,再盲目联立。
解三角形 —— 从 “公式盲目套用” 到 “方法精准选择”



双曲线问题 —— 从 “联立硬算” 到 “性质活用”



圆锥曲线线段比例问题 —— 从 “距离硬算” 到 “多元转化”
方法一:到角公式。考试的时候我首选的方法,但是计算量超级大,即使这样但是这样的思考是符合学生的思考逻辑,直来直往,运算量虽然大,但有勇气算下去也会算得出正确答案!坚信自己选的路~

方法二:角平分线性质。这种方法是结合三角形的角平分线的性质得到的,由徐老师提供的方法,很是巧妙,计算量小了很多,但是在这里对于这个阶段的学生有些综合性的应用难点就是双曲线中的焦半径公式。

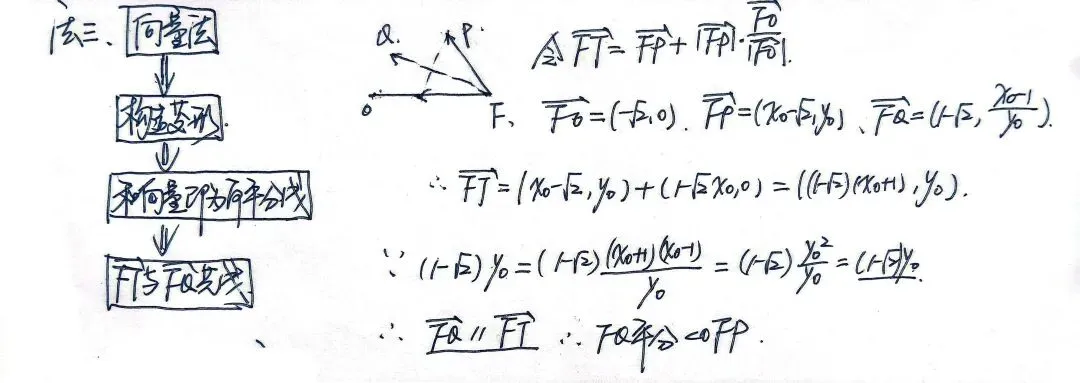
方法三:向量法。选择用向量工具解决几何问题,不用复杂的斜率计算和角度推导,全程向量运算,逻辑清晰构造菱形的技巧,本质是利用 “菱形对角线平分内角” 的几何性质,把角平分线转化为向量加法。感谢许老师的点拨。


方法四:角平分线性质:角平分线上的点到角两边的距离相等。思路很清晰,但运算整理可能有些困难,有时间可以在课后试一试。
说明:这是 “多思少算” 思想的集中体现。通过四种解法的对比,让学生明确 “不同思维切入点对应不同运算成本”,引导学生主动思考 “如何选择转化路径才能最小化运算量”。板书未否定 “多算” 方法,而是通过层级标注,让学生自主发现 “几何性质、定义优先” 的解题策略,培养发散思维与优化意识。
少一点盲目运算,
多一点理性思考;
少一点机械照搬,
多一点策略选择。
