本次信息素养大赛对算法应用主题赛设定了四种场景,但这些场景只是编程语言的“外衣”,本质上考的仍是对编程语言的掌握程度,所以,语言本身仍是我们复习的重点。志远精心选择了各语言的通关练习卷供同学们参考,敬请关注。
信息素养大赛备赛通关复习Scratch真题练习卷01
1.执行下图所示程序,舞台上的角色()[单选题]*

A、在1秒内滑行到随机位置
B、不断地重复滑行到随机位置
C、只有按下空格键的时候,才会滑行到随机位置√
D、只有按下空格键以外键的时候,才会滑行到随机位置
2.在“声音”选项卡中用鼠标拖动选中如下图所示的声波,再选择下方的“静音”功能,下面选项正确的是()[单选题]*

A、设置整个声音文件都静音
B、只是选中部分静音√
C、选中部分以外的声音静音
D、没有任何作用
3.与下图程序实现效果相同的选项是()[单选题]*

A、


4.舞台上有小猫和“mouse1”两个角色,“mouse1”隐藏,如果小猫移动到“mouse1”所在的位置,下面积木的结果是()[单选题]*

A、false√
B、true
C、不会有返回值
D、都有可能
5.添加“视频侦测”模块,开启摄像头,用手在摄像头前缓慢移动,下面积木运行结果最有可能是()[单选题]*

A、-10
B、0
C、10√
D、100
6.默认小猫角色,下面哪个选项能够实现只点击一次绿旗,不做其他操作,小猫舞台上行走一圈后停止()[单选题]*

7.小猫和熊的程序如下图所示,点击绿旗,小猫和熊两个角色同时在播放音乐,按下空格键,下面选项正确的是()[单选题]*

A、同时停止这两个角色播放音乐√
B、只能停止小猫播放音乐
C、只能停止熊播放音乐
D、不能停止任何角色播放音乐
8.积木如下图所示,哪个选项的流程图最准确()[单选题]*


9.在流程图中,表示判断、决策的是()[单选题]*

10.舞台可见区域中最左上角的坐标是()[单选题]*
A、(240,180)
B、(-240,180)√
C、(240,-180)
D、(-240,-180)
11.按下空格键,执行下面积木的结果是()[单选题]*

A、flase
B、true√
C、不会有返回值
D、都有可能
12.舞台如下图所示,如果要让小猫不被双层巴士和石头挡住,移到最上层,可以使用下面哪个积木()[单选题]*


13.下面积木执行后,结果为true的选项是()[单选题]*

14.两个角色在舞台上画出了不同的图形后,按下空格键,其中一个角色执行下面程序,下面说法正确的是()[单选题]*

A、删除所有角色画出的图形√
B、只删除当前角色画出的图形
C、删除舞台上所有角色和图形
D、不能删除任何东西
15.如果知道循环结构结束的条件,最适合使用下面哪个选项的积木()[单选题]*

16.下面积木的下拉列表中,没有哪个选项()[单选题]*

A、数字键
B、字母键
C、方向键
D、退格键√
17.张三、李四和王五三位程序员最擅长的编程语言分别是Python、Java、C。现在知道张三不会Java;擅长Java的程序员比李四年龄小;王五比擅长C语言的年龄大。那么擅长Python的应该是()[单选题]*
A、张三
B、李四√
C、王五
D、根据已知条件不能求出答案
18.如下图所示程序运行后,舞台上的角色会说()[单选题]*

A、算对了
B、算错了√
C、先说算对了,再说算错了
D、先说算错了,再说算对了
19.某校机器人社团的三台足球机器人进行一对一足球比赛,事先约好胜一场得2分、平一场得1分、输一场得0分,最终三场比赛结束后,只出现一场平局,并且甲机器人得3分、乙得2分、丙得1分,以下说法正确的是()[单选题]*
A、甲胜乙、与丙平局√
B、乙胜甲、输给了丙
C、甲胜丙,与乙平局
D、丙输给了甲,与乙打平
20.按规律填图()[单选题]*


21.角色画笔当前的粗细是1,要变为3,应该使用下面哪个积木()[单选题]*

22.下面哪个积木的执行结果是7()[单选题]*

23.运行下图程序,说法正确的是()[单选题]*

A、点击绿旗后一段时间,按下空格键,程序停止。
B、只点击绿旗,不做其他任何操作,角色会不断在舞台上随机移动。
C、一直按着空格键,再点击绿旗,角色移到随机位置后,程序停止。
D、只点击绿旗,不做其他任何操作,角色移到随机位置后,程序停止。√
24.已知某一年的7月有5个星期六、4个星期天,那么这一年的7月1日是()[单选题]*
A、星期二
B、星期三
C、星期四√
D、星期五
25.下面积木运行的结果是()[单选题]*

A、10
B、12
C、14√
D、16
26.程序中要使用不确定的数值,这时要用到的是()[单选题]*
A、图章
B、变量
C、广播
D、随机数√
27.执行下列程序后,角色会说()[单选题]*

A、3
B、6
C、10
D、15√
28.猫妈妈和小猫在玩数数游戏,小猫从0开始数数,按下空格键之后,小猫停止数数,下面哪个选项的程序可以实现这个功能()[单选题]*

答案解析:积木“重复执行直到()”当满足条件时就会跳出循环,所以选项A符合题意;选项B“重复执行”积木是一直执行下去,再结合“等待()”积木,其最终实现的效果是:按下空格键之后,我的变量一直增加,不会停止;选项C程序一运行就“停止全部脚本”,按下空格键变量也不会增加;选项D是按下空格键,变量增加1;所以BCD均不符合题意。
29.关于“图章”,说法不正确的是()[单选题]*
A、图章印出的图案,跟用画笔画出来的图案是一样的,不能使用移动积木让图案移动
B、图章印出的图案多少,不影响系统运行速度
C、图章印出来的图案后,再修改角色的颜色特效,之前的图章图案不受角色外观变化影响
D、图章印出图案后,可以修改图案虚像值√
30.蝙蝠bat有下图四个造型,它想要在森林舞会中以任意一个造型登场,下面哪个选项可以实现()[单选题]*

答案解析:如果生成的随机数是0,角色会按照4号造型来显示,当随机数为5时,会按照1号造型来显示,这与题目要求的造型与编号一致相违背,所以选项B、D错误。
31.默认小猫角色,下列哪个程序执行一次之后能够在舞台上画出下面图案()[单选题]*


答案解析:饱和度是指色彩的鲜艳程度,并不能改变颜色.而颜色值的不同代表了不同的颜色,所以选项B错误.选项AC将颜色设定为一个固定的值,那么画笔会一直保持这个颜色,故错误。
32.让角色一直移动,需要用到的下面哪个积木()[单选题]*
A、重复执行√
B、图章
C、克隆
D、广播
33.执行下列程序后,c的值是()[单选题]*

A、50
B、51√
C、49
D、0
34.下列程序绘制的图形是()[单选题]*

A、正方形
B、长方形
C、菱形
D、没有出现图形√
35.小蜗牛不小心掉进了一口井,白天它往上爬a米,晚上向下掉b米,这口井高h米,通过下图的程序求出小蜗牛爬出井需要的天数。假设a=4,b=2,那么当井高为多少米时,小蜗牛可以在第9天时爬出井()[单选题]*

A、20√
B、21
C、22
D、23
36.关于克隆体,说法正确的是()[单选题]*
A、所有克隆体的运动轨迹必须一样
B、不同的克隆体可以有不同的运动轨迹√
C、克隆体不能移动
D、克隆体的亮度虚像都不能改变
37.小猫位于舞台中心,方向90,执行一次下列程序后,舞台上可以看到()[单选题]*
A、舞台上只看到一只小猫,且坐标是(x:100,y:0)
B、舞台上看到两只小猫,一只坐标是(x:0,y:0),另一只坐标是(x:100,y:0)√
C、舞台上看到无数只小猫,且每只小猫相隔距离为100
D、舞台上只看到一只小猫,且坐标是(x:0,y:0)
答案解析:克隆体会继承本体的所有属性,所以每次克隆体的初始位置都是(x:0,y:0),当作为克隆体启动时移动100步,默认情况下是向右移动,所以最终只会看到两只小猫,一只坐标是(x:0,y:0),另一只坐标是(x:100,y:0)
38.执行下列程序后,a的值为()[单选题]*

A、15
B、20
C、40
D、50√
39.执行下列程序后,小猫说出的结果是右图中哪个图形的面积()[单选题]*

A、阴影①部分的面积
B、阴影部分①和③的面积之和√
C、图形②的面积
D、图形④的面积
答案解析:大扇形的面积等于图形1+2+3;小扇形的面积等于3+4;长方形的面积等于2+3+4;所以大扇形的面积+小扇形的面积-长方形的面积=1+2+(3+3+4)-(2+3+4)=1+3
40.执行下列程序,说出的内容是()[单选题]*

A、自然数的累加和
B、自然数的累乘积
C、两个数的最大公约数
D、两个数的最小公倍数√
41.角色Champ99有7个造型,他和同学们玩拍七令,游戏规则是从1开始依次数数,如果遇到7或7的倍数时跳过数数,Champ99换一个造型,Champ99刚好换完第七个造型时游戏停止,请问最后一个小伙伴报的数是()[单选题]*
A、7
B、49
C、41√
D、35
答案解析:造型1:变量值1-6,造型2:变量值7-13,造型3:变量值14-20,造型4:变量值21-27,造型5:变量值28-34,造型6:变量值35-41,造型7:变量值42。变量值刚达到42,脚本就停止运行,而角色没有说出42,所以最后一个报的数应为41
42.角色A程序如左图所示,角色B程序如右图所示。点击绿旗,在什么时候角色A说“真棒”()[单选题]*

A、角色A开始切换造型时
B、角色A造型切换十次完成后
C、角色B造型切换十次完成后√
D、不会说此句
43.角色苹果,运行下面程序绘制的图形是()[单选题]*


44.猫抓老鼠游戏的封面上有“开始”按钮和“游戏规则”两个按钮,但是点击了“开始”按钮之后出现的却是游戏规则说明,下面各选项是“开始”的程序,哪个选项可能造成这一现象()[单选题]*

45.能让角色在整个舞台范围内的任意位置出现的程序是()[单选题]*

46.小猫的程序左下图所示,恐龙的程序如右下图所示,点击绿旗,下面说法正确的是()[单选题]*

A、点击绿旗后,小猫立即说“一起玩真高兴!”
B、点击绿旗后,小猫和恐龙开始跳跃,小猫停止跳跃后,立即说“一起玩真高兴!”
C、点击绿旗后,小猫不跳跃,恐龙开始跳跃,等到恐龙停止跳跃,小猫说“一起玩真高兴!”
D、点击绿旗后,小猫和恐龙都开始跳跃,小猫先停止跳跃,等到恐龙停止跳跃,小猫说“一起玩真高兴!”√
47.下图中的程序执行一次之后,舞台上画出的痕迹是()[单选题]*


答案解析:透明度为色彩透光的程序,当透明度为0时,表示完全不透明,100时表示完全透明.而程序中的透明度是从100减到0,所以是一个从无到有的状态,故BC错误,而程序中并没有改变画笔的大小,所以A错误,正确答案为D
48.关于变量的描述正确的是()[单选题]*
A、变量的正常显示模式只显示变量值
B、变量的大字显示模式显示变量名及变量值
C、变量的滑杆显示模式显示变量名、变量值以及滑杆,通过滑动滑杆上的滑块改变变量的值√
D、变量只能存放变化的数字
答案解析:变量的正常模式显示变量名和变量值,大字显示模式只显示变量值,所以选项A、B错误;变量还可以用于存放字母、汉字,所以选项D错误。
49.默认小猫角色,下图中的程序执行一次之后得到的图形是()[单选题]*


答案解析:题目中的程序是两个重复的嵌套使用,里面的重复决定边的长度及线形,落笔移动5步,再抬笔移动8步,决定了画出的这个图形的边是虚线,所以选项A、D不正确;外面的重复决定了画出图形的边数,所以外面重复执行的次数就是画出图形的边数,故正确答案是C。
50.记录用户输入的数据,要用到的是()[单选题]*
A、侦测碰到
B、随机数
C、变量√
D、广播
51.下面哪个选项程序可以交换下图列表中第2项和第3项的位置()[单选题]*



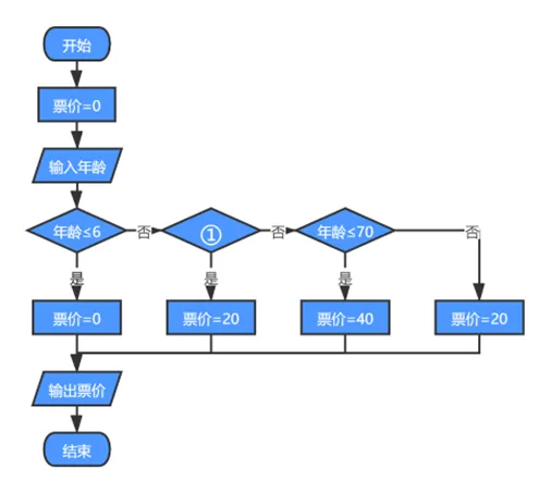
52.雷峰塔景区的门票价格政策是:成人40元/人;6周岁(含6周岁)以下的实行免票;6周岁以上、18周岁(含18周岁)以下的可购买半票(20元/人);70周岁(不含70周岁)以上老人凭有效证件可享半票优惠。雷峰塔景区门票价格计算流程图如下图所示,图中“①”处的正确选项是()(注:“≤”读作小于等于,表示小于或等于)()[单选题]*

A、年龄<18
B、年龄≤18√
C、年龄>18
D、年龄≥18
53.角色当前造型如下图所示,在执行以下程序后,舞台中会出现下列哪个选项中的图案()[单选题]*


54.现有一个数字序列:1,2,3,4,5,6,7,8,9,10,11。现在用二分查找的方式查找数字8,请问最少需要几次查找()[单选题]*
A、1
B、2
C、3√
D、4
55.执行下面程序后在舞台中出现的图案是()[单选题]*


56.下面程序的执行效果跟哪个选项的执行效果一样()[单选题]*


57.老师在黑板上挂了一张世界地图,并给亚洲、欧洲、美洲、非洲、大洋洲分别标上了1、2、3、4、5五个数字编号,再让同学们指出五大洲对应的编号,有五名同学分别做了回答。A同学:3号是欧洲,2号是美洲;B同学:4号是亚洲,2号是大洋洲;C同学:1号是亚洲,5号是非洲;D同学:4号是非洲,3号是大洋洲;E同学:2号是欧洲,5号是美洲。最后老师对五名同学的回答做出评价:你们每个人都只说对了一半。下列选项中说法正确的是()[单选题]*
A、1号是美洲
B、2号是亚洲
C、3号是欧洲√
D、5号是大洋洲
58.克隆小鸡角色,程序中“①”处的数值应该是多少()[单选题]*

A、3
B、4√
C、5
D、以上都不对
59.列表“六(2)班科学”存放六班所有同学的科学成绩,要想计算平均分,请问其中的“代码1”和“代码2”分别是什么()[单选题]*


60.下面程序将输入的内容倒过来,例如输入“我爱妈妈”,角色会说“妈妈爱我”。请问程序中的“①”是()[单选题]*


