
整体来评价一下这份试卷,难度除了附加题其余的都是常见题型,所以这份试卷容易出高分,想考低分除非你的计算都算错了,基本功非常拉胯,不然想考低分也不容易。
优秀分:95+
拉胯分:85-

选择题第九题,这种代数式求范围的题型出现的频率很高,中考模拟题也经常出现,这道题就是去年长丰县期末的一道改编题,原题如下:

这种题型的处理方法都是差不多的,通过等式找出a,b之间的关系,代入不等式中,通过消元只保留一个未知数就行求解,分别求出a和b的取值范围,其余的就迎刃而解了。

选择题第十题这是一道循环节类题型,只要把前面几项写出来你就会发现这是一个6个一循环的题型,356÷6余2,最后的结果就是第二次的结果,这种求很大数的结果一般都是考察循环,不然你怎么可能算出来?你说是吧?

填空压轴考察的是含参不等式,只是加了一个新定义,含参不等式是我们七年级的重难点内容,也是必考内容,这道题相对来说难度不算很大,只是需要注意端点的等号能不能取到很关键,整体难度作为压轴题不算特别大。

我再给你上一点难度,这道变式题型你会不会写呢?可以自己尝试去写一下。
中间几道解答题是纯计算题型,完全就是考察你的基本功,如果这种题型计算错了,那你就疯狂的练习计算就行了。

第十九题考察的是杨辉三角,杨辉三角课上作为专题进行讲解的,你可以看下我们讲义上的这道题,是不是如出一辙。


第一问你读懂了新定义难度就不大了,第二问计算量比较大,主要考察的就是你对新定义的理解,以及割补法求阴影部分的面积,完全平方公式的变形,第三个问我感觉比第二问还要简单一点,整体来说都是我们常见的题型换了一种形式进行考察。

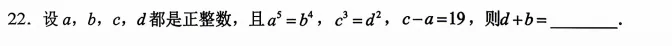
22附加题是一道竞赛改编题,主要考察的是平方差公式进行因式分解,这个题目有点难度,不是很好想,做不出来也没多大关系,原题如下:


过程你可以模仿一下,只是最后我们要求的是d+b=1243.
每一次考试都是对你这段学习状态的检验,考得好的戒骄戒躁继续努力,考的不好的更要及时复盘,及时调整状态,加油。