2026届高三安徽合肥二模数学试卷+答案

四季读书网 6 0
2026届高三安徽合肥二模数学试卷+答案
点击👆高中数学站👇关注我,加星标★
今天老师给大家整理了:2026届高三安徽合肥二模数学试卷+答案。
老师已为大家备好电子打印版,想要获取电子打印版请拉到文末查看。
(点击可查看大图,超清晰)
2026届高三安徽合肥二模数学试卷+答案 第1张
2026届高三安徽合肥二模数学试卷+答案 第2张
2026届高三安徽合肥二模数学试卷+答案 第3张
2026届高三安徽合肥二模数学试卷+答案 第4张
2026届高三安徽合肥二模数学试卷+答案 第5张
2026届高三安徽合肥二模数学试卷+答案 第6张
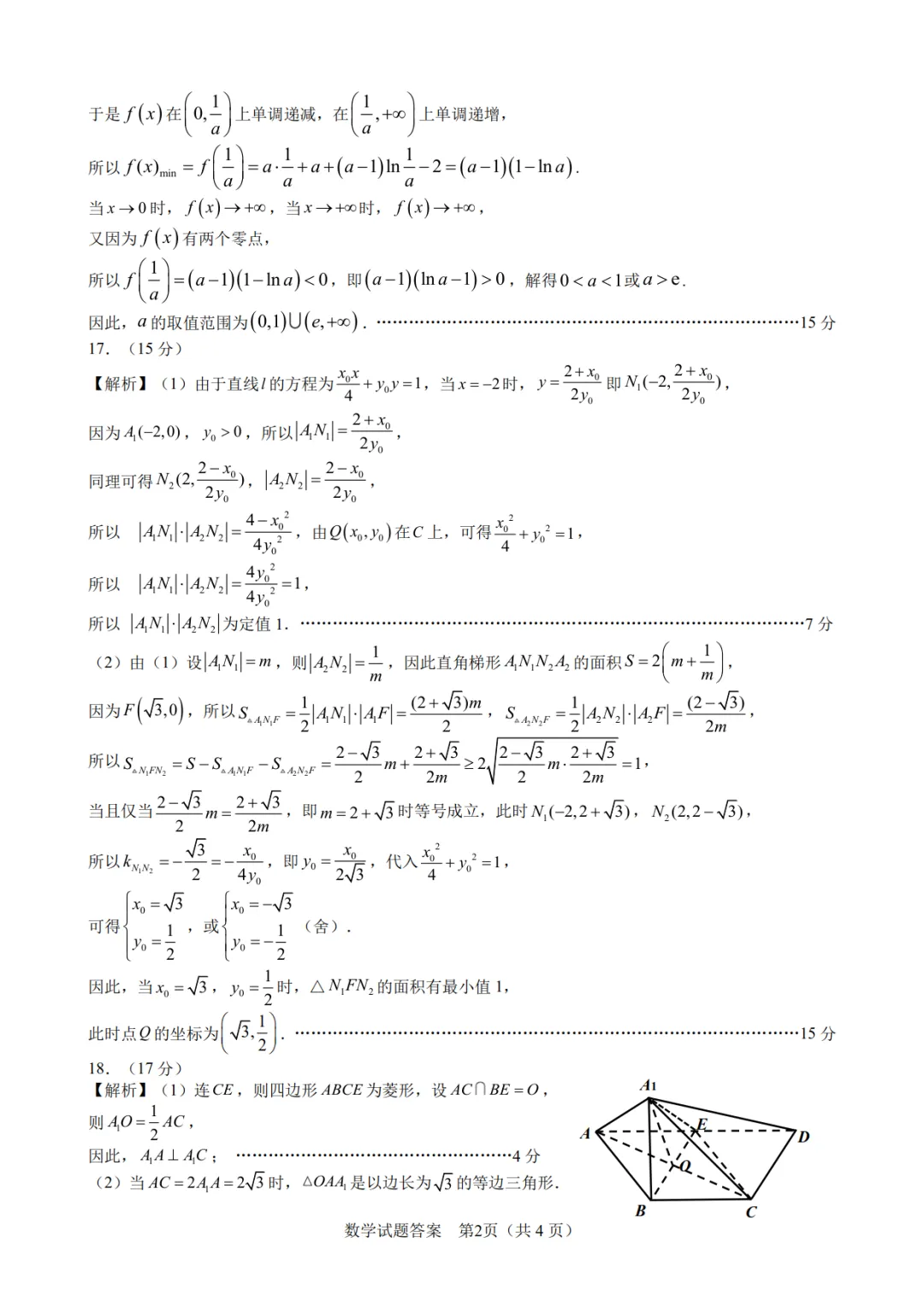
2026届高三安徽合肥二模数学试卷+答案 第7张
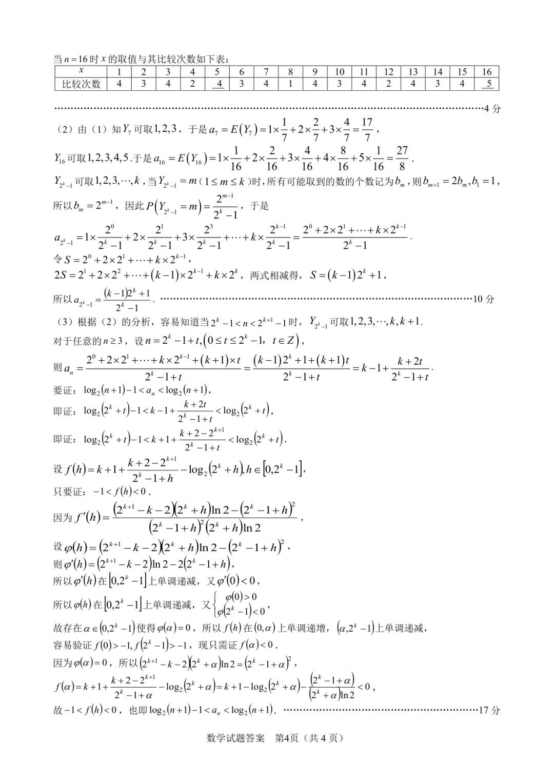
2026届高三安徽合肥二模数学试卷+答案 第8张
扫描下方二维
进入“高中数学站”的后台
2026届高三安徽合肥二模数学试卷+答案 第9张
点击后台左下方小键盘图标
发送消息  4月资料 即可获取打印版
2026届高三安徽合肥二模数学试卷+答案 第10张

2026届高三安徽合肥二模数学试卷+答案 第11张

抱歉,评论功能暂时关闭!