期中试卷
2026重庆杨家坪教共体中学八年级下册期中卷






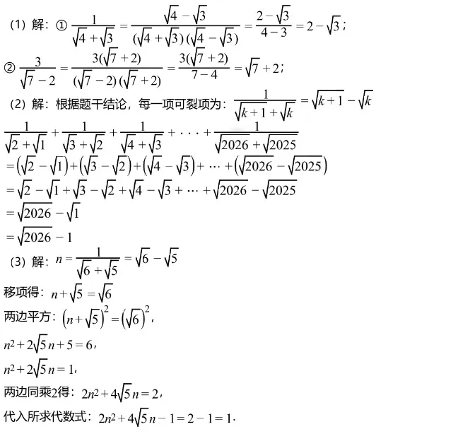
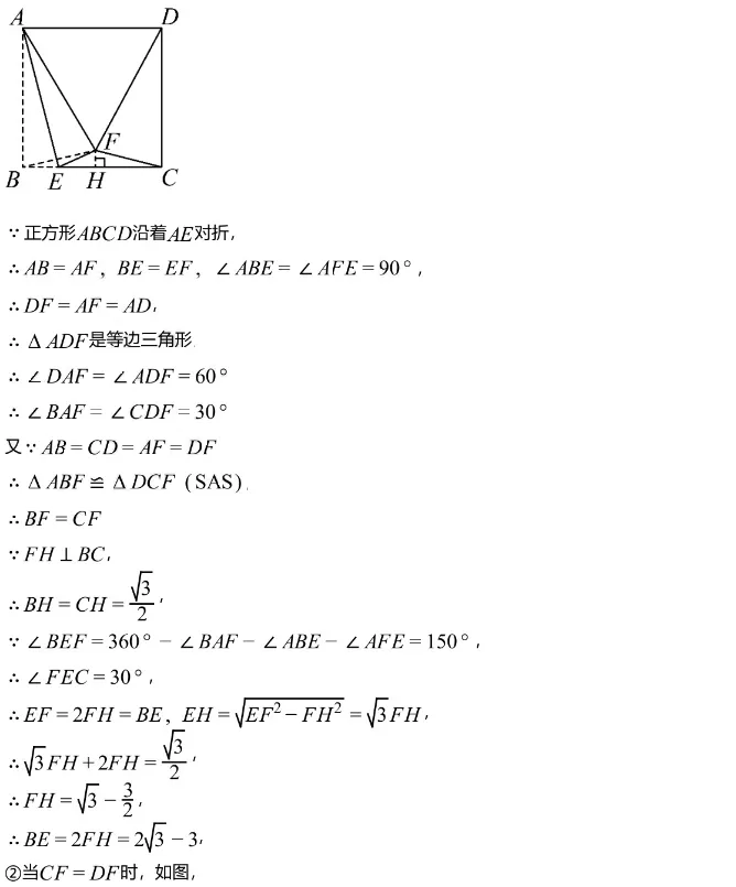
答案解析
难题解析



④计算所有满足条件的整式个数:n=3有1个,n=2有4个,n=1有9个;n≥4时,n+|an|≥4+1=5>4,无符合条件的整式;总共有1+4+9=14个,不是17个,故④错误,
综上,只有1个结论正确.





初中数学精品资料
七年级数学资料
八年级数学资料
九年级数学资料
2026中考模拟
2025中考数学压轴题解析
更新中.........
2025中考真题
更新中.........
中考数学最值微课
更新中.........
中考数学知识拓展
更新中.......
文章来源:
四季读书网
版权声明:本文内容由互联网用户自发贡献,该文观点仅代表作者本人。本站仅提供信息存储空间服务,不拥有所有权,不承担相关法律责任。如发现本站有涉嫌抄袭侵权/违法违规的内容, 请发送邮件至23467321@qq.com举报,一经查实,本站将立刻删除;如已特别标注为本站原创文章的,转载时请以链接形式注明文章出处,谢谢!