
“测量电源电动势和内阻”是学生必做的21个实验之一,也是高考常考的知识点,其中实验的误差分析是学生学习的薄弱点。日常教学在分析“测量电源电动势和内阻”的误差时通常采用理论分析,这容易造成学生理解困难。
本期,我们基于Geogebra用仿真实验来分析误差,将测量误差可视化,并将其对于理解常用误差分析方法的作用做出解释,便于学生理解实验误差的本质,培养学生实验误差分析的能力。
一、问题提出:误差分析为何成为教学难点
"测电源电动势和内阻"是高中物理电学实验的核心内容,在近五年高考中几乎每年必考。然而,误差分析始终是学生得分率最低的知识点之一。
教学实践中常见的困惑:
只会背结论,不理解原因:学生能说出"外接法E测偏小,r测偏小",但问及"为什么"则含糊其辞 三种分析方法割裂:公式法、图像法、等效电源法学完仍然混淆,无法建立统一认知 缺乏直观感知:静态图难以呈现误差的动态变化过程,学生难以形成"误差是如何产生的"这一物理直觉
可视化教学的价值:
GeoGebra的优势在于动态交互——通过滑动条改变参数,学生可以直观看到:
电压表内阻如何影响测量结果 不同接法下误差的差异 参数变化时误差的变化趋势
这正是突破教学难点的关键。
二、核心知识梳理:两种接法与分析方法
2.1 实验原理
根据闭合电路欧姆定律:
测量多组数据,作图像:
纵轴截距 → 电动势 斜率绝对值 → 内阻
2.2 两种电路接法
电流表内接法(甲图):
电流表:测量真实干路电流 电压表:测量值,未包含电流表分压 误差来源:电流表分压
电流表外接法(乙图):
电压表:测量真实路端电压 电流表:测量值,未包含电压表分流 误差来源:电压表分流
2.3 误差分析方法
方法一:公式法(代数修正)
外接法误差推导:
设电压表内阻为,真实干路电流为
代入,可得:
内接法误差推导:
设电流表内阻为,真实路端电压为
代入,可得:
方法二:图像法(几何直观)
外接法图像分析:
电压表分流导致越大时,越大。
在图像上,每个测量点向右平移得到真实点,连接后得到真实图线(虚线):
纵截距增大 → 斜率绝对值增大 →
内接法图像分析:
电流表分压导致越大时,越大。
在图像上,每个测量点向上平移得到真实点,连接后得到真实图线(虚线):
纵截距不变 → 斜率绝对值减小 →
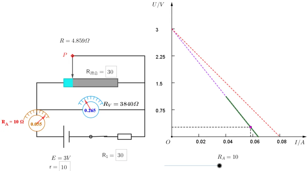
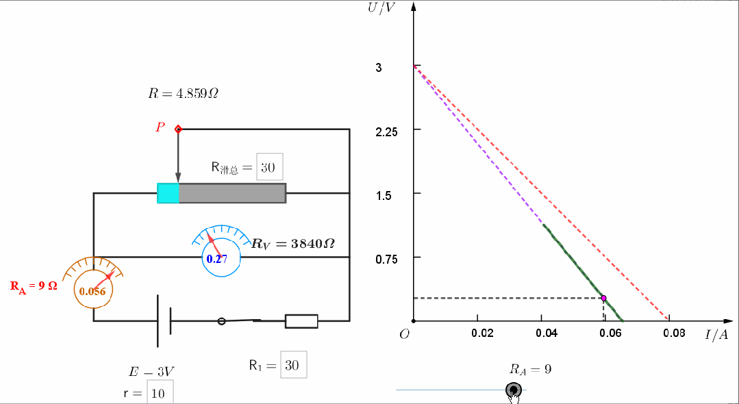
三、参数变化对误差的影响
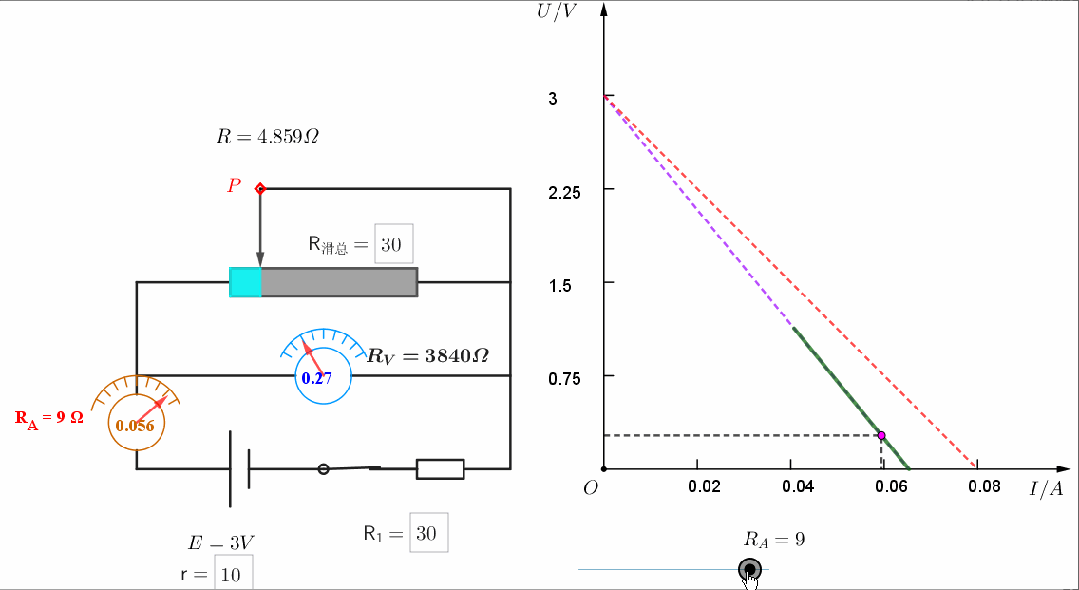
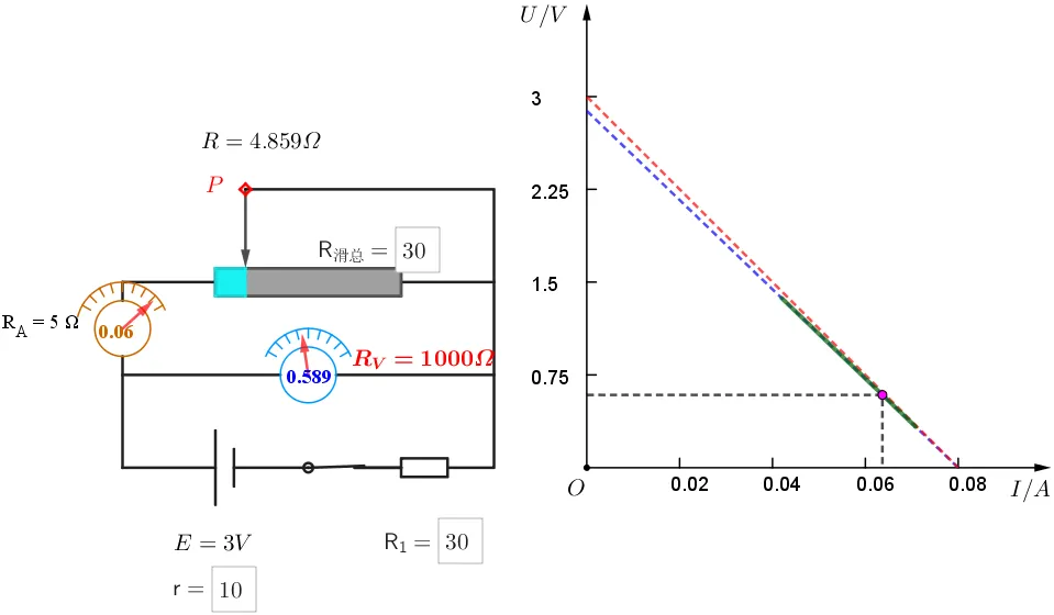
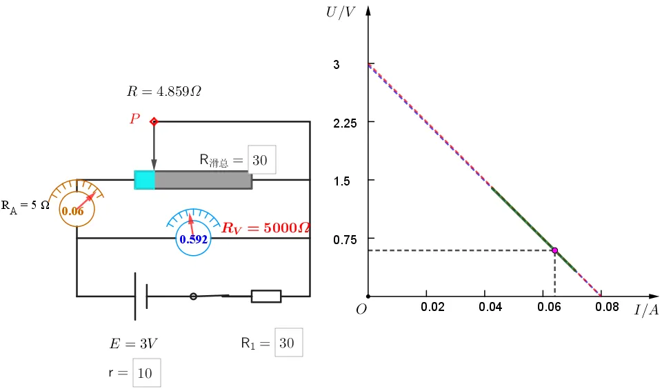
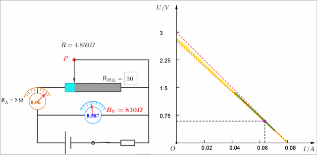
3.1外接法:电压表内阻变化对误差的影响
分别设置电压表内阻阻值为100、500、1k、5k。正常情况下电压表内阻在 级,实际电压表内阻并不会小至100,之所以设置=100,保护电阻=30,目的在于把微小误差放大更便于观察电压表内阻对外接法的影响。
=100

=500

=1000

=5000


调节滑动条,学生可以直观看到:
当时,外接法误差急剧减小

当接近时,误差显著增大

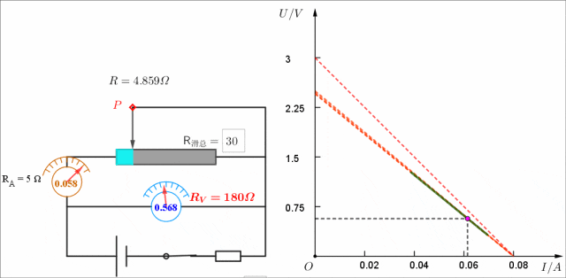
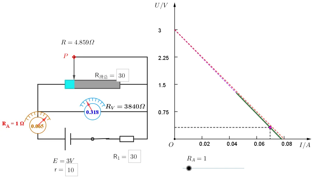
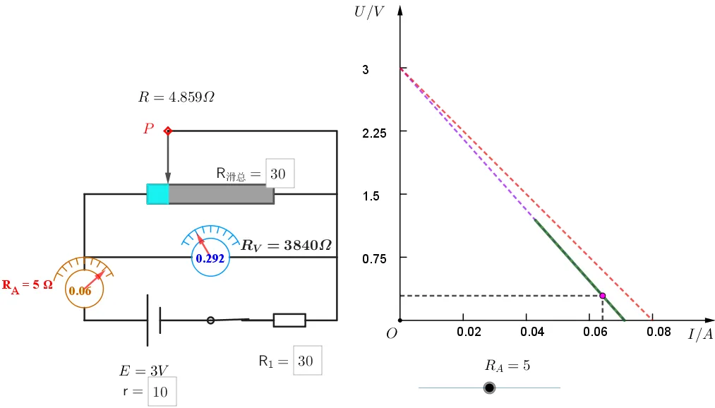
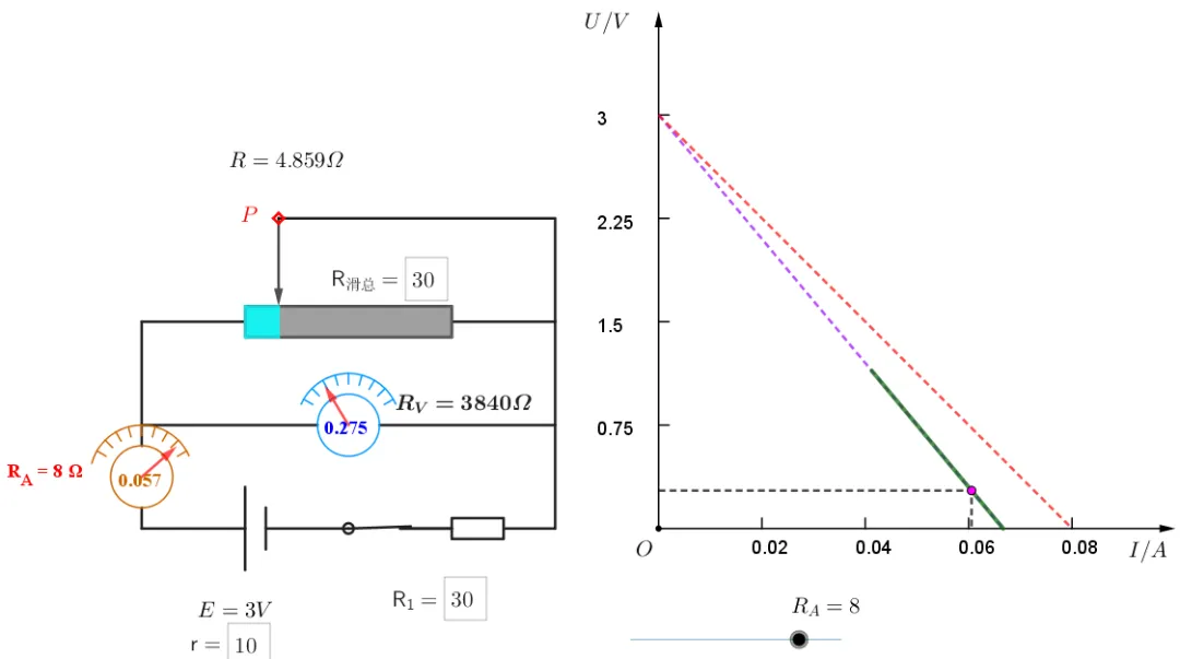
3.2内接法:电流表内阻变化对误差的影响
分别设置电流表内阻阻值为1、5、8、10。正常情况下电压表内阻在 级,实际大量程电流表内阻并不会大到10,设置大到10,同样在于把微小误差放大更便于观察的目的。
=1

=5

=8

=10



调节滑动条,学生可以直观看到:
内接法对电动势测量无影响 内阻误差随线性增大
核心发现:
3.2 案例二:内外接法误差对比
临界点分析:
当时,两种接法误差相等:
教学启示:
当时,外接法误差更小 → 选择外接法 当时,内接法误差更小 → 选择内接法
实际教学中的简化判断:
实验室常用器材参数:
临界电阻:
干电池内阻,远小于,因此干电池实验选择外接法。
四、高考真题解析(2021-2025年精选)
真题一:2023年湖北卷
【原题】 某实验小组为测量干电池的电动势和内阻,设计了如图所示电路,所用器材如下:
电压表(量程0~3V,内阻很大) 电流表(量程0~0.6A) 电阻箱(阻值0~9999Ω) 干电池一节、开关一个和导线若干
(1) 根据图(a),完成图(b)中的实物图连线。

(2) 调节电阻箱到最大阻值,闭合开关。逐次改变电阻箱的电阻,记录其阻值、相应的电流表示数和电压表示数。根据记录数据作出的图像如图(c)所示,则干电池的电动势为____V、内阻为____Ω。

(3) 该小组根据记录数据进一步探究,作出图像如图(d)所示。利用图(d)中图像的纵轴截距,结合(2)问得到的电动势与内阻,还可以求出电流表内阻为____Ω。
(4) 由于电压表内阻不是无穷大,本实验干电池内阻的测量值____(填"偏大"或"偏小")。
【解析】
(2) 由图像:
纵轴截距 → (保留三位有效数字) 斜率绝对值 →
(3) 根据,变形得:
由图像:
斜率 → 可验证电动势 纵轴截距 →
(4)关键考点:误差分析
题目中电压表内阻很大,但仍非无穷大,存在分流作用。
分析路径:
本实验采用外接法(电压表测路端电压,电流表测支路电流) 电压表分流导致 根据误差分析结论:
答案:偏小
【可视化辅助理解】
在GeoGebra中设置:
真实参数:, 测量误差:电压表内阻时的误差百分比 计算结果:
教学提醒: 本题电压表内阻很大,误差很小,但仍需理解误差方向。
真题二:2020年北京卷
【原题】 用图1所示的甲、乙两种方法测量某电源的电动势和内电阻(约为1Ω)。其中R为电阻箱,电流表的内电阻约为0.1Ω,电压表的内电阻约为3kΩ。

(1) 利用图1中甲图实验电路测电源的电动势和内电阻,所测量的实际是图2中虚线框所示"等效电源"的电动势和内电阻。若电流表内电阻用表示,请你用、和表示出、,并简要说明理由。

(2) 某同学利用图像分析甲、乙两种方法中由电表内电阻引起的实验误差。

在图3中,实线是根据实验数据描点作图得到的图像;虚线是该电源的路端电压随电流变化的图像(没有电表内电阻影响的理想情况)。在图3中,对应图甲电路分析的图像是____;对应图乙电路分析的图像是____。
(3) 综合上述分析,为了减小由电表内电阻引起的实验误差,本实验应选择图1中的____(填"甲"或"乙")。
【解析】
(1) 甲图为内接法(电流表靠近电源)
等效电源法分析:
将电流表内化到电源中 等效电动势:(理由:断路时,电流表不分压,路端电压等于电动势) 等效内阻:(理由:电流表与电源串联,总内阻为两者之和)
(2) 根据图像特征判断:
甲图(内接法)特征:
实线(测量值)斜率绝对值 > 虚线(真实值) 纵截距相同(电动势相等) 对应图3中的C图
乙图(外接法)特征:
实线(测量值)斜率绝对值 < 虚线(真实值) 实线纵截距 < 虚线纵截距 对应图3中的A图
答案:C;A
(3)误差定量比较:
已知参数:,,
内接法误差:
外接法误差:
答案:乙
【教学启示】
本题是典型的"选择电路"类问题,需要:
理解等效电源法 识别图像特征 进行定量误差计算
可视化建议: 制作一个对比表格,输入不同的、、值,自动计算两种接法的误差,帮助学生建立直观判断。
真题三:2022年福建卷
【原题】 在测量某电源电动势和内阻时,因为电压表和电流表的影响,不论使用何种接法,都会产生系统误差。为了消除电表内阻造成的系统误差,某实验兴趣小组设计了如图甲实验电路进行测量。已知。
(1) 按照图甲所示的电路图,将图乙中的器材实物连线补充完整。

(2) 实验操作步骤如下:
① 将滑动变阻器滑到最左端位置
② 接法ⅰ:单刀双掷开关S与1接通,闭合开关,调节滑动变阻器R,记录若干组的值,断开开关
③ 将滑动变阻器滑到最左端位置
④ 接法ⅱ:单刀双掷开关S与2接通,闭合开关,调节滑动变阻器R,记录若干组的值,断开开关
⑤ 分别作出两种情况所对应的和图像

(4) 根据测得数据,作出和图像如图丁所示,根据图线求得电源电动势____,内阻____。

(5) 由图丁可知____(填"接法ⅰ"或"接法ⅱ")测得的电源内阻更接近真实值。
(6) 综合考虑,若只能选择一种接法,应选择____(填"接法ⅰ"或"接法ⅱ")测量更合适。
【解析】
这是一道创新设计题,通过单刀双掷开关实现内外接法切换,综合对比两种方案的误差。
(4) 由图像读取:
接法ⅰ(内接法):, 接法ⅱ(外接法):,
(5) 接法ⅱ(外接法)更接近真实值
分析:
已知,但这是定值电阻,电源内阻应更小 外接法测得内阻 内接法测得内阻 若,则 外接法测得值更接近
(6) 选择接法ⅱ(外接法)
理由:
电源内阻,较小 ,外接法误差很小 内接法将电流表内阻计入,误差较大
【创新点分析】
本题的创新之处在于:
一次实验,两种接法:通过单刀双掷开关切换 数据对比验证:从实际数据判断哪种接法更优 回归物理本质:不是机械套用结论,而是从测量数据中分析
五、教学建议与反思
5.1 可视化教学实施策略
课堂实施流程:
GeoGebra文件分享建议:
制作可调参数版本,供学生课后自主探究 录制操作视频,上传至教学平台 设计探究任务单,引导学生观察关键变化
5.2 常见教学误区
误区一:只讲结论,不讲过程
错误做法:直接告诉学生"外接法偏小,内接法偏大"。
正确做法:通过三种方法推导,让学生理解"为什么"。
误区二:孤立讲解,缺乏对比
错误做法:分别讲解三种方法,不建立联系。
正确做法:强调三种方法本质一致,只是视角不同。
误区三:忽视定量计算
错误做法:只做定性判断,不进行误差计算。
正确做法:通过具体数值让学生感知误差大小。
5.3 学生能力培养路径
六、结语
误差分析是物理实验教学的难点,也是培养学生科学思维的重要载体。通过GeoGebra可视化工具,我们可以:
将抽象变具体:误差不再是"背下来的结论",而是可以"看见"的过程 将静态变动态:参数变化带来的影响一目了然 将孤立变系统:三种分析方法形成统一认知
期待更多教师在教学中尝试可视化工具,让误差分析真正成为学生"理解得了、记得住、用得上"的知识。

全部模型,联系作者(微信):lantianwuli


#AI赋能教学#高中物理#虚拟仿真实验#信息技术融合#智慧课堂#AI+教育 #人工智能赋能教学#信息技术与物理融合#智慧课堂#数字化实验室