2026青海大学专升本考试于4月18日圆满收官!考后收获众多学员真实反馈,我们的模拟卷、密押卷等备考资料起到了至关重要的作用,在考场中为学员筑牢答题底气,助力学员从容应考!真实反馈如下:
命中链接:高数精选习题册第10页第九题

考点解析:

命中链接:高数精选习题册第31页选择题第5题

考点解析:

命中链接:高数精选习题册第36页第4题

考点解析:

命中链接:高数精选习题册第48页第8题

考点解析:

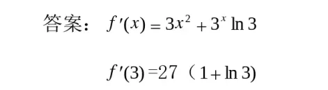
命中链接:高数模考卷四计算题第7题

考点解析:

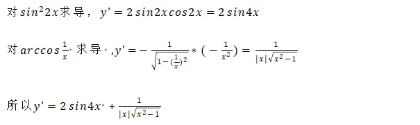
命中链接:高数模考卷四计算机第4题

考点解析:

命中链接:高数精选习题册第42页第10题

考点解析:

命中链接:高数模拟卷二选择题第2题

考点解析:

命中链接:高数精选习题册第90页第10题

考点解析:

命中链接:高数练习册第81页III-8

考点解析:

命中链接:高数精选习题册第18页第3题

考点解析:

命中链接:高数模拟卷四填空题第4题

考点解析:

命中链接:高数精选习题册第36页填空题第3题

考点解析:

命中链接:高数模拟卷一选择题第9题

考点解析:

命中链接:高数模拟卷二填空题第5题

考点解析:

命中链接:高数模拟卷5判断题第2题

考点解析:

命中链接:高数教材第82页定义

考点解析:

命中链接:高数教材第232页性质2

考点解析:
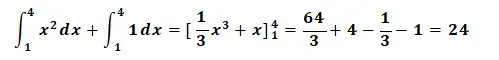
定积分对于积分区间具有可加性。
命中链接:高等数学教材45页第一题第1小题

考点解析:

命中链接:高数精选习题册第16页第21题13小题

考点解析:

命中链接:高数模拟卷三计算题第2题

考点解析:

命中链接:高数精选习题册第51页第37题第1小题

考点解析:

命中链接:高数精选习题册第90页第5题

考点解析:

命中链接:高等数学精选习题册第98页第5题第1小题

考点解析:

命中链接:高数模拟卷四应用题

考点解析:

命中链接:高数精选习题册第96页选择题第6题

考点解析:

2026年青海大学专升本考试已顺利落幕。芊学专升本陆续收到学员真实反馈:在本次高数考试中,我们的模拟卷、密押卷及全套备考资料起到了关键作用,为学员稳定发挥提供了有力支持。每一份认可,既是同学们不懈努力的最好见证,也是我们用心教学、不负托付的最大动力。芊学专升本将始终坚守初心,脚踏实地,陪伴更多学子圆梦本科,上岸理想院校。