希望国际是面向中小学生的国际性数学竞赛活动,自1990年创办以来,已成为国内规模最大、参与人数最多的数学赛事之一,每年吸引超百万学生参与。
一年级:










二年级:










三年级:










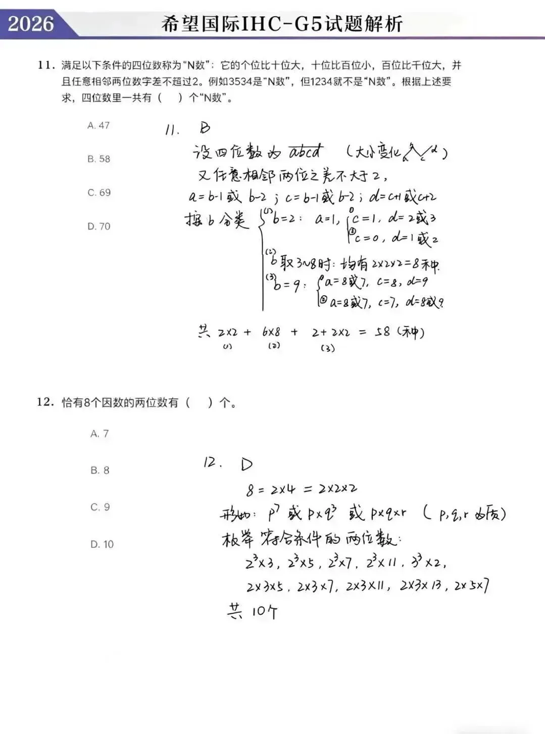
四年级:










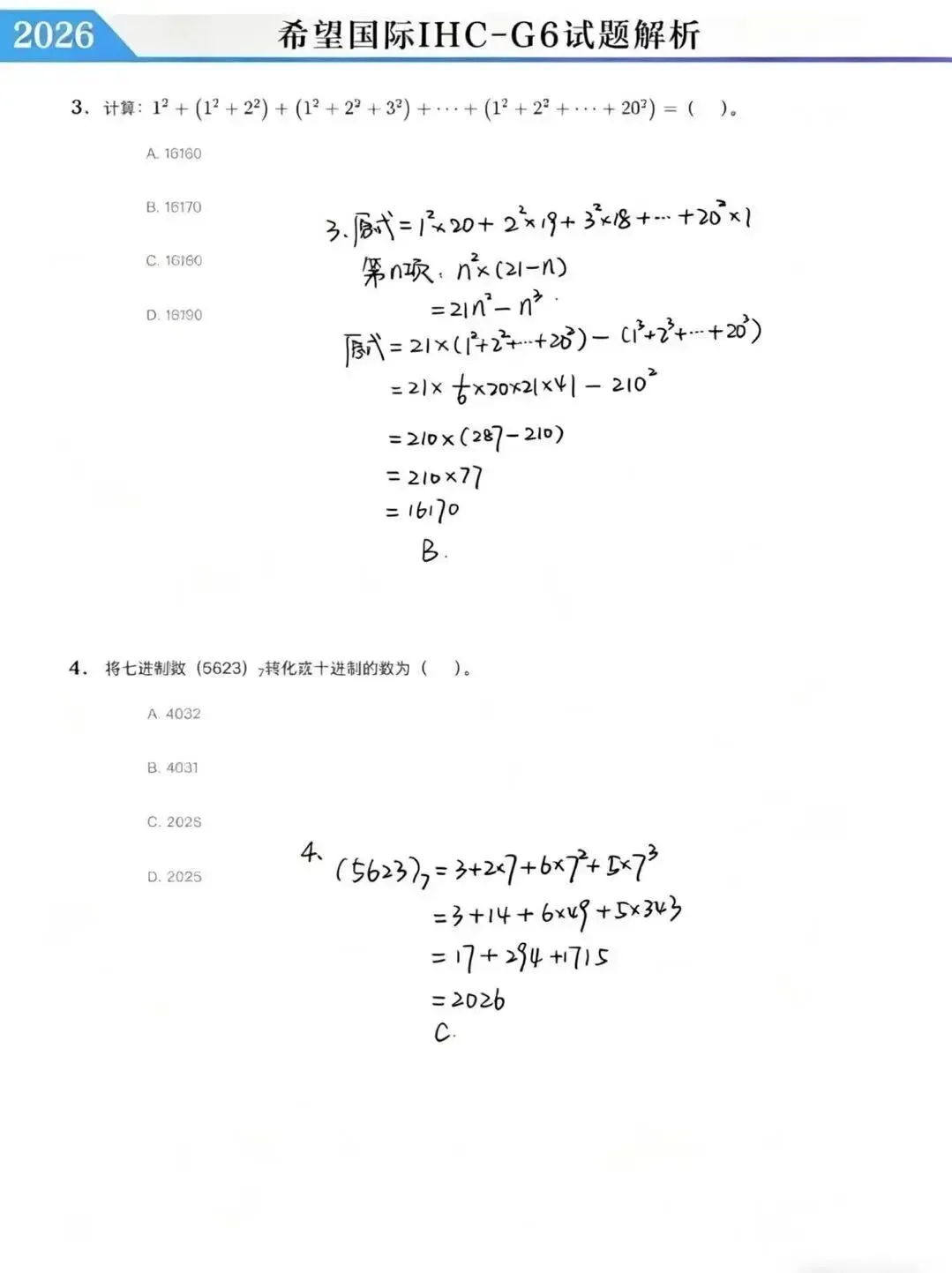
五年级:




















更多咨询
添加老师微信。更有其他更多活动信息分享,进重要活动通知群

文章来源:
四季读书网
版权声明:本文内容由互联网用户自发贡献,该文观点仅代表作者本人。本站仅提供信息存储空间服务,不拥有所有权,不承担相关法律责任。如发现本站有涉嫌抄袭侵权/违法违规的内容, 请发送邮件至23467321@qq.com举报,一经查实,本站将立刻删除;如已特别标注为本站原创文章的,转载时请以链接形式注明文章出处,谢谢!