信息给予题又称为新情景题,是把教材上没有介绍过的新知识以信息的形式告诉学生。
信息给予题一直是中考化学试题中的重要题型,试题构思巧妙,题材鲜活,命题角度新颖,思维富于灵活性和创造性,能较好地考查学生对信息的提取、加工、处理及解决问题的能力。随着课改的深入实施,这种突显时代与生活气息的试题,已成为中考命题的一个热点,在未来的中考中,该类试题将会有增无减,所占分值,将逐年递增。

【方法点拨】
一、信息给予题的题型特点
1.一般信息给予题分为“题干”部分和“问题”部分。
题干部分提供解题所需的信息,其来源往往是后续学习的内容、生产生活实践、新闻媒体报道、科学技术前沿、历史事件记载和社会热点及焦点问题;问题部分主要是围绕题干所给的新信息,从不同角度、不同侧面、不同层次进行设问。
2.信息给予题一般具有“高起点、低落点”的特点,解答时要求学生运用题中所给信息,迁移所学知识,经过综合分析,最后得出结论。
3.信息给予题从题型看,可分为新知旧景题、新景旧知题及新知新景题。
二、信息给予题的解题方法和策略
1.新知旧景类题:此类信息给予题的特点是:题目提供的知识和方法是学生未学过的、新范围的(即新知识或新信息),而题目所涉及的情景却是学生熟悉的、常见的(即所谓旧景),解答此类题目的方法是结合提出的问题,筛选有价值的信息,从中概括出新知识、新方法进行类比推理。
2.新景旧知类题:此类信息给予题的特点是:题目本身提供了一个新景或新信息,但解决问题所用的知识和方法却是学生已具备的(即所谓“旧知”)。此类题多属于联系科学、技术、新闻、社会和环境的热点题,具有时事性和教育性。解答此类题时,要从题目中获取新信息,联系已学知识,综合分析,最终得出结论。
3.新知新景类题:此类信息给予题的特点是:题目本身提供新信息,创设新情景,且解答问题所需要的主要知识和方法学生没有学过,而由题目来提供。解答此类信息题的策略是:先对题目进行仔细阅读,在此基础上对题目进行深入的理解,并掌握题中所涉及的新知识和新方法,最后运用新知识和新方法解决新问题。
一、选择题(每小题只有一个选项符合题意)
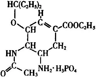
1.最近流行的甲型H1N1流感,感染早期用达菲治疗有效。从达菲分子的结构中(如图所示),不能推断出达菲的()
A.组成元素B.颜色、气味
C.化学式D.相对分子质量

2.过氧化氢(H2O2)是一种无色黏稠液体,易分解为水和氧气,常用作氧化剂、漂白剂和消毒剂。为了贮存、运输、使用的方便,工业上将过氧化氢转化为固态的过碳酸钠晶体(2Na2CO3·3H2O2),该晶体具有碳酸钠和过氧化氢的双重性质。接触下列物质不会使过碳酸钠失效的是()
A.二氧化锰B.硫酸铜
C.盐酸D.氯化钠
3.如图的信息能说明()

A.分子在不断地运动
B.分子之间有间隔
C.分子很小
D.分子可以再分
4.我国科学家在CO低温氧化的研究上取得了突破性进展,利用四氧化三钴纳米棒作催化剂,可将汽车尾气中的CO在低温下氧化为CO2,示意图如图所示。下列关于该反应的说法错误的是()

A.可有效降低汽车尾气对大气的污染
B.属于化合反应
C.反应前后四氧化三钴纳米棒的化学性质发生变化
D.反应前后氧原子数不发生变化
5.氢氧化钴[Co(OH)2]受热易分解,能与酸性溶液反应,可作涂料和油漆的干燥剂,制备方法为:①Co+2HCl=CoCl2+H2↑②CoCl2+2NaOH=Co(OH)2↓+2NaCl,下列判断正确的是()
A.钴的金属活动性比铜的弱
B.①为置换反应,②为复分解反应
C.氢氧化钴的化学性质稳定
D.氢氧化钴可以干燥氯化氢气体
二、填空题
6.统计:昆明人均水资源占有量不足300立方米,是全国14个极度缺水的城市之一。
(1)节约用水对于昆明来说尤为迫切,请告诉我们一条节约用水的措施;
(2)你了解到的或你建议的抗旱措施是__________________________________。
7.如图所示是甲烷燃烧的微观模拟图,请回答下列问题:

(1)在点燃的条件下,A到B的过程表示的是甲烷分子分成碳原子和氢原子,氧分子分成氧原子,B到C的过程表示的是;
(2)该反应的化学方程式为。
8.科学家经过多年研究证明,很多同学爱吃的某些小包装零食中,含一定量的有毒、有害、致病的化学物质,如某些油炸食品中含有致癌物质丙烯酰胺,丙烯酰胺的化学式为C3H5ON,回答下列问题:
(1)丙烯酰胺由_____种元素组成。
(2)碳元素和氧元素的质量比是________(最简整数比)。
(3)每个丙烯酰胺分子中有______个原子。
9.如图是一氧化碳燃烧的微观示意图。请回答:

(1)当煤气泄漏时会嗅到特殊臭味,这是因为分子在
(2)请另写一个与图中基本反应类型相同的化学方程式;
(3)将一氧化碳完全燃烧的产物通入紫色石蕊试液中,观察到溶液颜色变为;
(4)分析上述微观示意图,你能得到的一条结论是_________________________。
10.为了降低汽车排放的尾气对空气的污染,现在的大部分汽车都安装了催化式排气净化器。下图列举的是几种气体在净化器中转换前后的变化。
①根据下图所提供的信息,举例说明催化式排气净化器是如何降低汽车尾气污染的______________________。

②气体在催化式排气净化器里面发生了化学变化。请用原子、分子的知识概括化学变化的实质____________________________________。
③为了使汽车尾气的污染更小,研究催化式排气净化器的专家们还要注意什么问题________________________________________________。
三、简答题
11.中国主题是“低碳减排·绿色生活”。结合下面一组图片,谈谈你对该主题的认识。(至少谈三点)

【答案与解析】
1.【答案】B 2.【答案】D 3.【答案】C4.【答案】C 5.【答案】B
6.【答案】
(1)淘米水洗菜或洗衣水洗拖把等(合理答案均可)
(2)组织打水井或使用再生水等(合理答案均可)
7.【答案】(1)(一个)碳原子和(两个)氧原子组合成(或构成、结合成)(一个)二氧化碳分子,(一个)氧原子和(两个)氢原子组合成(一个)水分子(2)CH4+2O2
O2+2H2O
8.【答案】(1)四(2)9∶4(3)10
【解析】
(1)由化学式C3H5ON可知丙烯酰胺由C、H、O、N四种元素组成。
(2)碳元素与氧元素的质量比为:(12×3)∶16=9∶4。
(3)根据化学式C3H5ON,一个丙烯酰胺分子中含有10个原子。
9.【答案】
(1)不断运动
(2)C+O2
CO2(其他合理答案均可)(3)红色
(4)在化学反应中反应前后原子的种类没有改变,原子的数目没有增减(或每个二氧化碳分子是由一个碳原子、两个氧原子构成的,其他合理答案均可)
10.【答案】
①CO经过净化器后有90%的CO转化成CO2(其他合理答案也可)
②化学变化中分子分成原子,原子重新组合
③提高CO转化为CO2、氮氧化合物转化为氮气的比例(或把产生的CO2收集起来,而不是直接排放到大气中等其他合理答案也可)
11.【答案】
(1)废水任意排放对环境造成破坏。
(2)废气任意排放对环境造成破坏。
(3)通过监测可以了解各项污染对环境的影响。
(4)减少和控制污染可以为人类营造良好的生存环境。
(5)通过化学手段可以改善人类生活的环境。
(6)人类应使用对环境污染小,甚至无污染的化学制品。(合理即可)