y
GESP C++ 5级的题目,已经不能直观看出来或者用模拟枚举解决了。 那么读到题目,该怎么分析, 以真题为例GESP C++ 5级 P13013 奖品兑换
1. 很多题目直接求答案很难,但“验证一个答案”很简单
算法思想一句话:
不会直接求最优解?
那就二分猜答案,把问题变成判断题。
2. 资源限制天然就是「不等式」
限制 = 不等式
多个不等式 = 求交集
这直接引导走向:
- •
设未知数
- •
列不等式
- •
化简
- •
判断是否有解

(这是 GESP 五级二分答案 + 不等式的核心部分)
一)、原始建模(一定要先清楚这个)
设:
用第一种方案(花
a课 +b作)共 x₁ 次用第二种方案(花
b课 +a作)共 x₂ 次
显然:
x1+x2=x券的限制是:
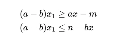
{ax1+bx2≤n(课堂券)bx1+ax2≤m(作业券)二)、消去 x₂
因为 x2=x−x1,代入两个不等式:
课堂券:
ax1+b(x−x1)≤n⇒(a−b)x1≤n−bx作业券:
bx1+a(x−x1)≤m⇒(b−a)x1≤m−ax注意:
b−a=−(a−b)
所以第二个不等式变为:
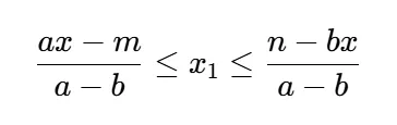
−(a−b)x1≤m−ax⇒(a−b)x1≥ax−m三)、关键一步:让 a ≥ b
因为题目完全对称:
(a,b)和(b,a)没有本质区别所以可以 强制规定:
a≥b⇒a−b>0这样 除以 (a−b) 时不等号方向不变,非常安全!
四)、整理成 x₁ 的范围
现在两个不等式是:

两边同时除以 a−b>0:

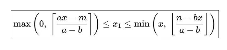
五)、加上 x₁ 的自然限制
x₁ 是“第一种方案用了多少次”,必须满足:
0≤x1≤x所以要取交集:

六)、这个式子在干什么?
项 | 含义 |
|---|---|
a−bax−m | 为了让作业券不超,x₁ 至少要这么大 |
a−bn−bx | 为了让课堂券不超,x₁ 最多这么大 |
向上取整 ⌈ ⌉ | x₁ 是整数,不能比理论最小值还小 |
向下取整 ⌊ ⌋ | x₁ 是整数,不能比理论最大值还大 |
只要这个区间里还有整数,x 就是可行的
七)、举例(样例 1)
n=8, m=8
a=2, b=1取 x = 5:
a−b=1
左端:12×5−8=2
右端:18−1×5=3
2≤x1≤3存在整数 → x = 5可行
八)、为什么这样就能二分?
如果某个
x可行 → 更大的x也可能可行如果不可行 → 再大一定更不行
符合:单调性成立,二分合法
九、一句话总结
设兑换总数为
x,利用对称性令
a ≥ b,用
x₁表示第一种方案次数,推出
x₁的整数存在区间,判断区间是否非空即可二分答案。
4. 怎么发现这种突破口?(通用)
遇到类似题,按这个顺序问
第 1 问:
“答案越大越难吗?”
→ 是 → 可以二分
第 2 问:
“验证一个答案,是不是比直接算简单?”
→ 是 → 二分 + 判定
第 3 问:
“有没有资源限制?”
→ 有 → 列不等式
第 4 问:
“有没有对称性?”
→ 有 → 不妨设大小
第 5 问:
“变量太多?”
→ 是 → 消元,留一个自由变量
C++代码
#include<bits/stdc++.h>using namespace std;typedef long long LL;intmain(){LL n, m, a, b;cin >> n >> m >> a >> b;if (a < b) swap(a, b); // 确保 a >= bif (a == b) { // 特判cout << min(n / a, m / a) << endl;return 0;}LL diff= a - b;LL left = 0, right = (n + m) / (a + b), ans = 0;while (left <= right) {LL mid = (left + right) / 2;// 计算 Lx = ceil((a*mid - m)/diff)LL num_L = a * mid - m;LL Lx = (num_L <= 0) ? 0 : (num_L + diff - 1) / diff;// 计算 Rx = floor((n - b*mid)/diff)LL num_R = n - b * mid;if (num_R < 0) {right = mid - 1;continue;}LL Rx = num_R / diff;if (Rx > mid) Rx = mid;if (Lx <= Rx) {ans = mid;left = mid + 1;} else {right = mid - 1;}}cout << ans << endl;return 0;}