2026年4月湖衢丽三地市高三联考数学试卷及逐题解析

四季读书网 2 0
2026年4月湖衢丽三地市高三联考数学试卷及逐题解析
2026年4月湖衢丽三地市高三联考数学试卷及逐题解析 第1张
2026年4月湖衢丽三地市高三联考数学试卷及逐题解析 第2张
2026年4月湖衢丽三地市高三联考数学试卷及逐题解析 第3张
2026年4月湖衢丽三地市高三联考数学试卷及逐题解析 第4张
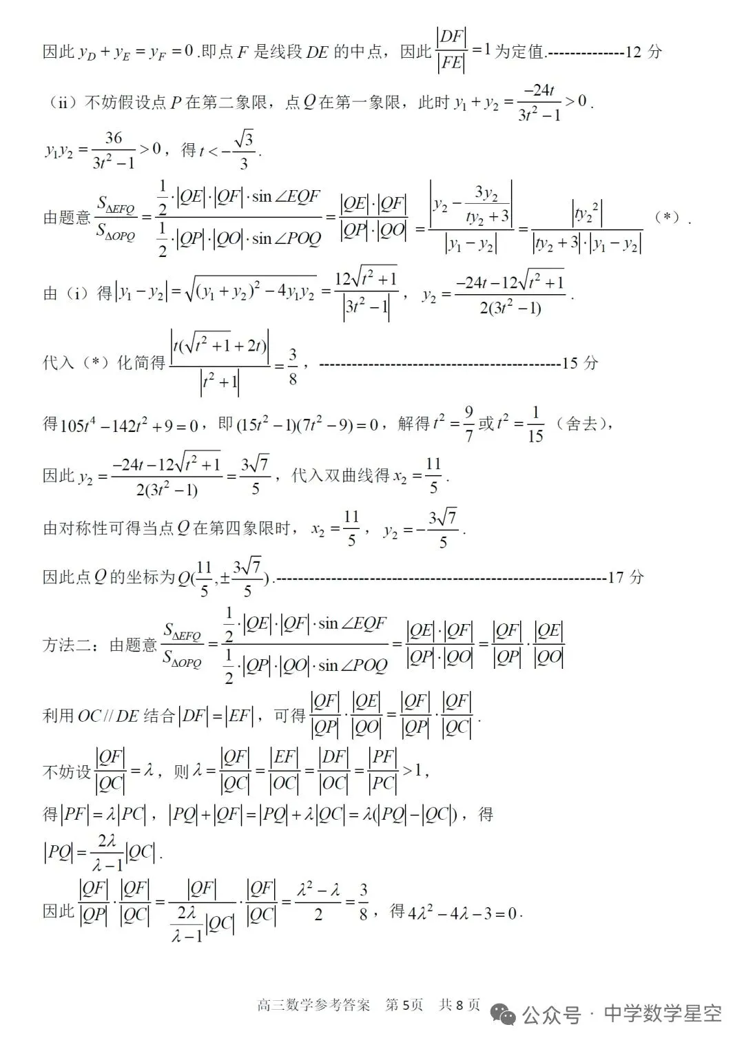
2026年4月湖衢丽三地市高三联考数学试卷及逐题解析 第5张
2026年4月湖衢丽三地市高三联考数学试卷及逐题解析 第6张
2026年4月湖衢丽三地市高三联考数学试卷及逐题解析 第7张
2026年4月湖衢丽三地市高三联考数学试卷及逐题解析 第8张
2026年4月湖衢丽三地市高三联考数学试卷及逐题解析 第9张
2026年4月湖衢丽三地市高三联考数学试卷及逐题解析 第10张
2026年4月湖衢丽三地市高三联考数学试卷及逐题解析 第11张
2026年4月湖衢丽三地市高三联考数学试卷及逐题解析 第12张

上一个《自带光芒的小善》(2021年广西河池中考满分作文)

下一个当前已是最新一个了

抱歉,评论功能暂时关闭!