2026届高三4月宁波二模数学试卷及答案

四季读书网 5 0
2026届高三4月宁波二模数学试卷及答案
2026届高三4月宁波二模数学试卷及答案 第1张
2026届高三4月宁波二模数学试卷及答案 第2张
2026届高三4月宁波二模数学试卷及答案 第3张
2026届高三4月宁波二模数学试卷及答案 第4张
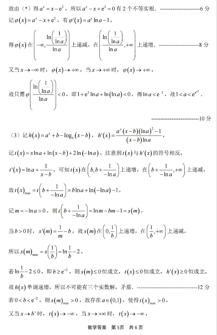
2026届高三4月宁波二模数学试卷及答案 第5张
2026届高三4月宁波二模数学试卷及答案 第6张
2026届高三4月宁波二模数学试卷及答案 第7张
2026届高三4月宁波二模数学试卷及答案 第8张
2026届高三4月宁波二模数学试卷及答案 第9张
2026届高三4月宁波二模数学试卷及答案 第10张

抱歉,评论功能暂时关闭!