

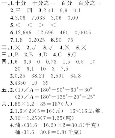
一、填空题。(每空1分,共25分)
1.一个数的小数部分的最高位是( )位,它的计数单位是( );小数点右边第二位是( )位,它的计数单位是( )。
2. 3.6×0.55的积有( )位小数,0.129×0.1的积有( )位小数。
3. 2.41×9.9+2.41×0.1=×(
+
)
4.3米6厘米=( )米 7吨33千克=( )吨
306平方分米=( )平方米 90米 = ( )千米
5.在
填上“<”“>”或“=”。
99×0.99
99 0.98×9.8
9.8
3.6×0.23
0.23 4.9
4.9×1.1
6.根据276×46=12696,直接填写括号里的数。
2.76×4.6=( ) 27.6×0.46=( )
0.276×( )=126.96 276×( )=1.2696
7.一个边长是0.45米的正方形,它的周长是( )米,面积是( )平方米。
8.如果一个等腰三角形的底角是45°,那么它的顶角是( )°;如果它的顶角是30°,那么它的底角是( )°。
二、判断对错。(对的打“√”,错的打“×”)(5分)
1.小数都比整数小。( )
2.一个三角形中最多只有一个直角。( )
3.用长4.4米,5.1米,3.3米的三根小棒能围成一个三角形。( )
4.一个数乘以小于1的数,积一定大于这个数。( )
5.等腰三角形是特殊的等边三角形。( )
三、选择题。(10分)
1.有一个内角是91°的三角形是( )。
A.直角三角形 B.钝角三角形
C.等腰三角形 D.锐角三角形
2.下面各式中,积最小的是( )。
A.49×0.25 B.4.9×0.25
C.0.25×490 D.0.49×25
3.用下面四根不同长度的小棒围三角形,( )不能围成一个三角形。
①10cm②8cm③3cm④7cm
A.①②③ B.②③④ C.①②④ D.①③④
4.2.5×0.84+2.16×2.5=2.5×(0.84+2.16)运用了( )。
A.加法结合律 B.乘法结合律
C.乘法分配律 D.加法交换律
5.如果甲×0.42=乙×1.75(甲、乙都不等于0),那么( )。
A.甲<乙 B.甲=乙 C.甲>乙 D.无法确定
四、计算题。(共26分)
1.口算下面各题。(12分)
1.5×4= 1.2+2.4=
8.69×0= 7.3×0.1=
0.75×2= 1-0.5=
2.5×4= 11.2+8.8=
1.3+4.8= 1.25×8=
4.3-1.3= 10-2.5=
2.竖式计算。(8分)
10-9.75= 13.58+24.63=
1.33×2.7= 4.32×15=
3.计算下面各题,能简算的要简算。(6分)
43.5×101-43.50.8×0.04×1.25×250
3.9×7.6+3.9×3.4-3.9
五、画一画,算一算。(共12分)
1.在下面网格中分别画出一个平行四边形、梯形和一个等腰直角三角形。(6分)

2.求∠A的度数。(6分)

六、解决问题。(共22分)
1.同学们去参观博物馆,四年级去了85人,五年级去的人数是四年级的1.2倍,两个年级一共去了多少人?(5分)
2.笑笑每天上学和放学都要乘坐一次公交车,每次花费1.6元。笑笑的公交卡里还剩16.2元,够她一周五天上学和放学用吗?(5分)
3.水果超市购进10吨水果,已经运回了7车,每车装1.25吨。还剩多少吨没有运回?(5分)
4.一桶油连桶的质量是31.6千克,用去一半油后,连桶的质量是16.2千克。原来油的质量是多少千克?桶的质量是多少千克?(7分)


篇幅有限,完整版加严老师微信免费领取!!!
zi
资
liao
料
ling
领
qu
取
一到六年级的电子版都有哦
要电子版的家长,添加严老师微信:领取
同学和家长,添加下方微信: 提前预习 学习

每天和你分享小学学习资料,考试资料,手指长按二维码图片即可关注哦!

