包含2017、2018、2019、2020、2021、2022、2023、2024、2025年英语四级历年真题及解析,点击下方网盘链接保存全套
我用夸克网盘给你分享了「四级真题」,点击链接或复制整段内容,打开「夸克APP」即可获取。
链接:https://pan.quark.cn/s/e4f3ed5fcd3f









































































































































































































































































































































































































































英语四级、CET4、2026 年 6 月四级、四级成绩查询、四级报名
四级 425 分、四级准考证打印、四级电子成绩单
四级高频词汇、四级真题、四级听力技巧、四级阅读技巧
四级写作模板、四级翻译预测、四级核心词汇
四级 30 天冲刺计划、四级同义替换、四级场景词库
2026 年 6 月四级考试时间、四级报名入口、四级报名流程
四级查分时间、四级准考证打印时间、四级口试
四级备考资料、四级网课、四级估分、四级过级率
四级校园场景词汇、四级经济类词汇、四级文化类翻译
四级查分小程序、四级报名费用、四级成绩有效期
「四级报名 / 查分指南」「准考证打印步骤」
「高频词清单」「写作模板」「冲刺计划」
「校园 / 经济 / 文化类词汇速记」
⚠️ 补充提示
2026 年上半年笔试时间为6 月 13 日,报名多在3-4 月,成绩预计 8 月公布,内容可按时间节点提前规划全国大学英语四、六级考试(CET)
包含2017、2018、2019、2020、2021、2022、2023、2024、2025年英语四级历年真题及解析,点击下方网盘链接保存全套
我用夸克网盘给你分享了「四级真题」,点击链接或复制整段内容,打开「夸克APP」即可获取。
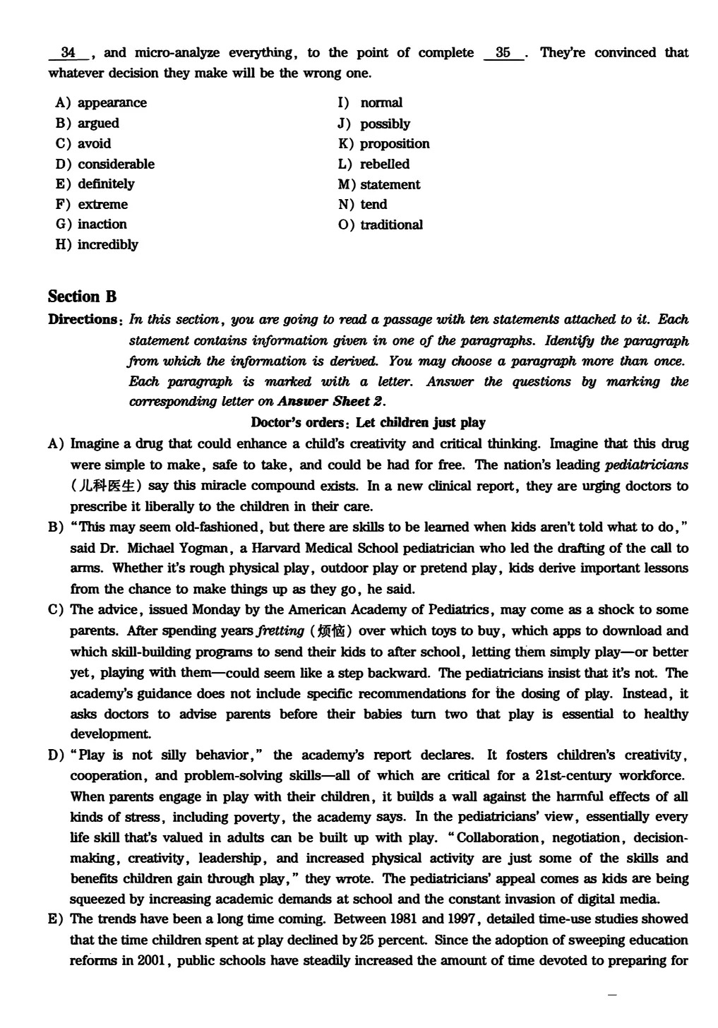
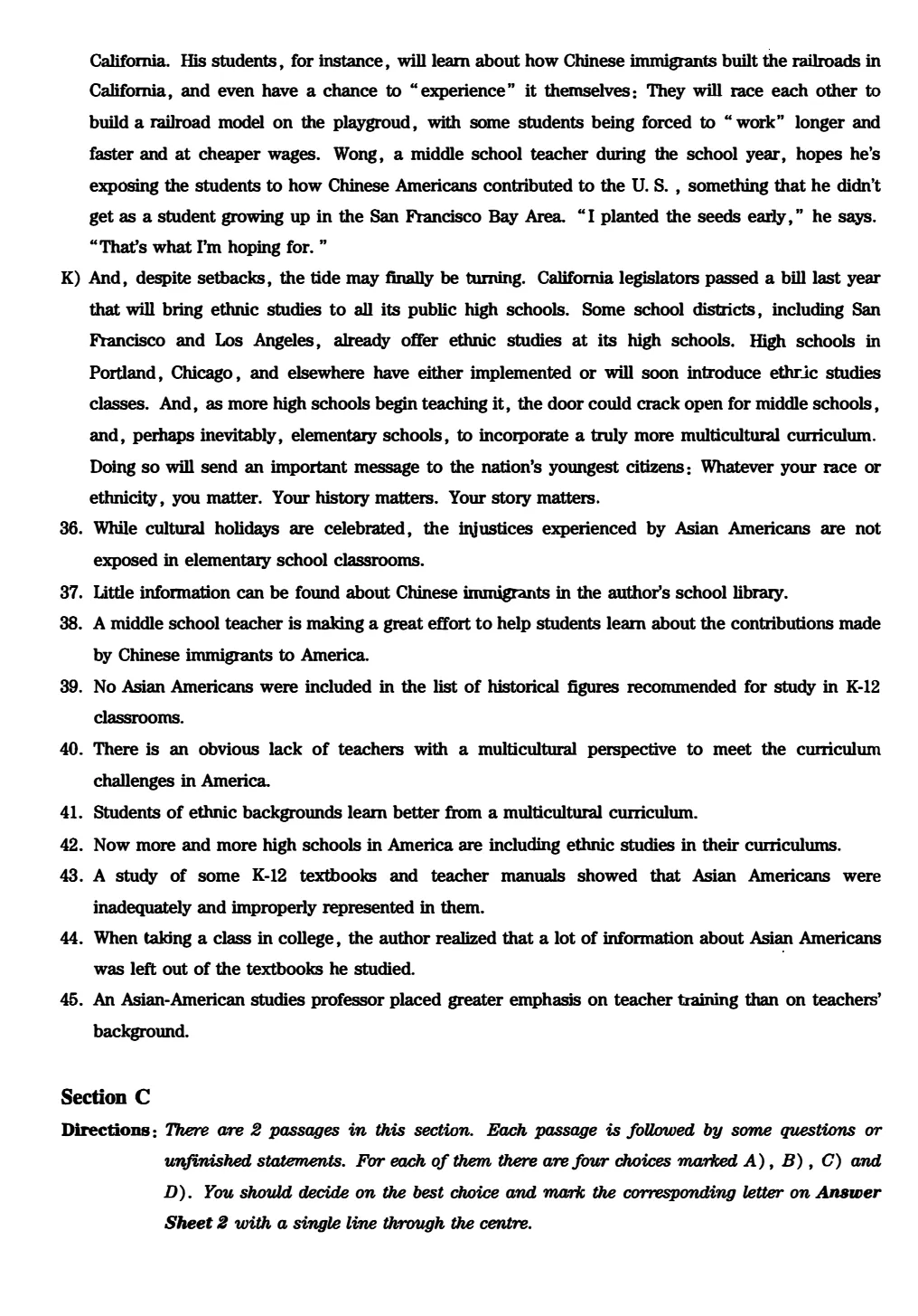
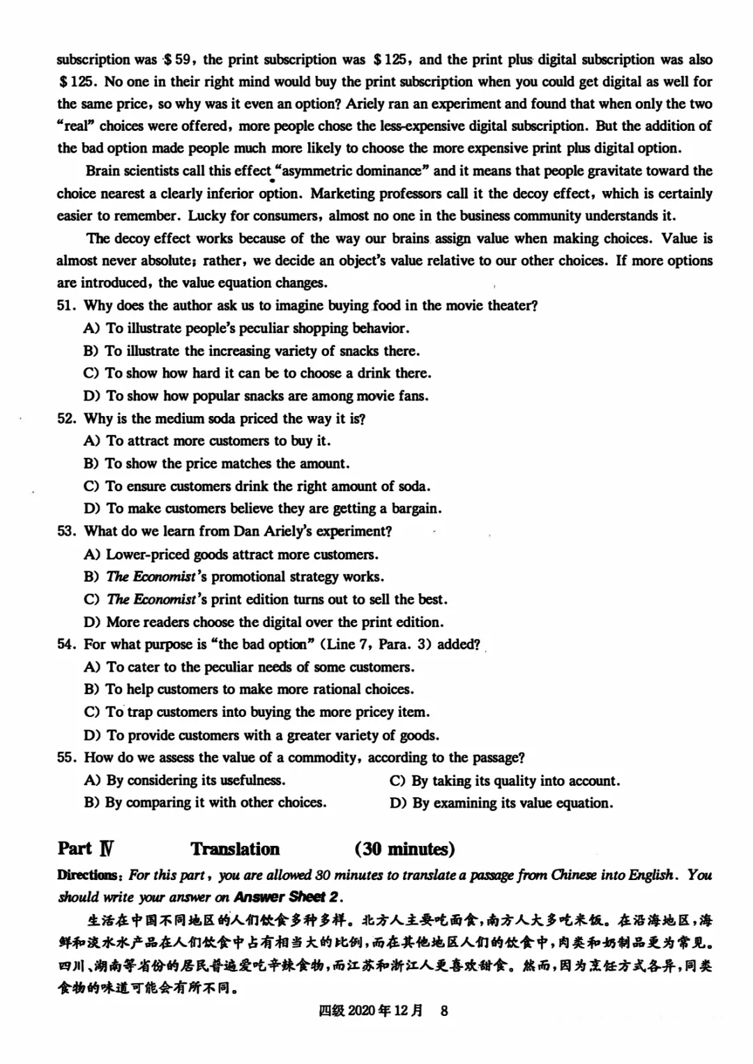
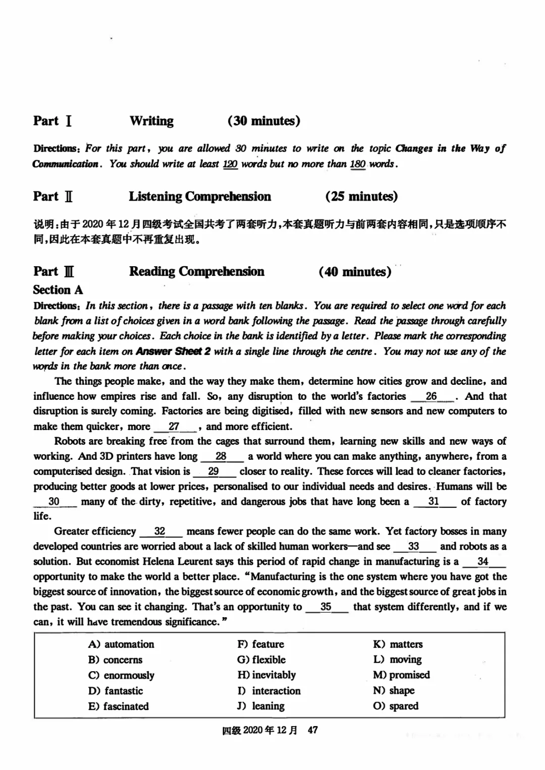
链接:https://pan.quark.cn/s/e4f3ed5fcd3f