



点击扫码购买卜神权威作品
纸质打印版
拼多多店获取(长按扫码)



点击下面标题可 查看作品详情 | 点击识别二维码获取 |
![]() | ![]() |
![]() | ![]() |
![]() | ![]() |
![]() |
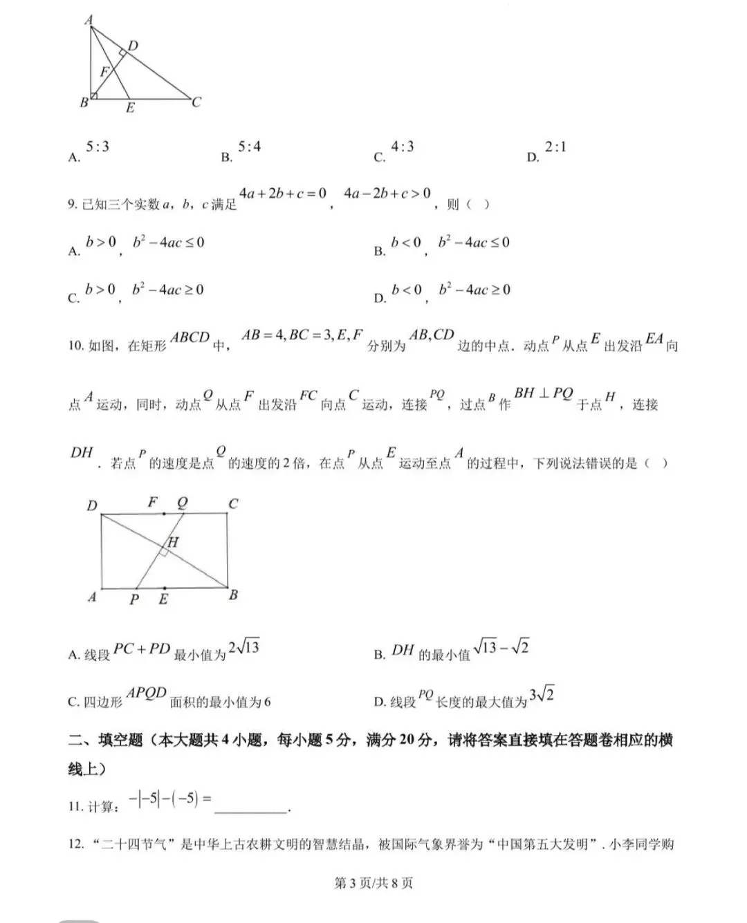
![]() | ![]() |
![]() | ![]() |
![]() |
![]() | ![]() |
![]() | ![]() |
![]() |
![]() |
![]() |
![]() | ![]() |
![]() | ![]() |
![]() | ![]() |
![]() | ![]() |
![]() | ![]() |
|


神原创专辑电子版免费下载
(点击文件标题即可下载)
原创数学1.pdf 原创数学2.pdf 原创数学3.pdf 原创数学4.pdf 原创数学5.pdf 原创数学6.pdf 原创数学7.pdf 原创数学8.pdf 原创专辑9 原创专辑10
卜神原创专辑视频版
(点击观看下载)

(微信里面识别下面图码)

精品解析:2026年陕西咸阳市实验中学九年级模拟考试(二)数学
精品解析:吉林省长春市第一O八学校2025-2026学年下学期九年级第一次学情检测数学试题
精品解析:重庆市鲁能巴蜀中学校2025-2026学年下学期八年级数学学情自测
精品解析:云南昆明市云南师范大学附属实验中学2025-2026学年八年级下学期4月阶段学情自测
精品解析:江西抚州市临川区第五实验学校等九年级学业水平测试数学模拟(二)












四川省成都市邛崃市2025-2026学年九年级下学期适应性训练数学试题 2026年安徽省合肥市第四十五中学(本部)一模九年级数学试卷(一)
四川成都石室天府中学2025-2026学年下学期九年级第5周数学定时训练
精品解析:北京师范大学实验华夏女子中学
2025-2026学年九年级下学期数学学科4月自主评价










精品解析:2025年陕西省西安市西安交大附中少年班入学数学真卷(一)
精品解析:上海兰生中学2025-2026学年八年级下学期数学阶段练习
精品解析:广东广州市南沙区2025-2026学年第二学期九年级数学习题
精品解析:广东中山市三鑫凯茵学校2025-2026学年九年级下学期3月学情自测数学
精品解析:重庆市巴蜀中学校2025-2026学年八年级下学期数学学情自测试题










精品解析:广东省广州市天河区天省实验学校2025-2026学年八年级下学期4月月考数学卷
精品解析:山东济南市长清区2026年中考一模数学试题 2026年广西北部湾经济区中考数学模拟卷(一)
精品解析:重庆市南开中学校2025-2026学年下学期九年级数学(八)
精品解析:山东青岛大学附属中学2025-2026学年下学期九年级数学模拟测试题(4月10日)










精品解析:安徽省蚌埠市蚌埠新城实验学校2026年初中毕业模拟考试数学试卷
江苏苏州外国语学校2025-2026学年九年级零模数学试卷
精品解析:黑龙江哈尔滨德强学校2025-2026学年下学期四月份学科素养测评六年级数学试卷
精品解析:黑龙江哈尔滨德强学校2025-2026学年下学期四月份学科素养测评七年级数学试卷









精品解析:山东东营市东营区2025-2026学年第二学期3月份质量检测九年级数学试题
精品解析:北京市第四中学2025-2026学年九年级下学期4月学情自测数学试题
北京市海淀区中国人民大学附属中学2025-2026学年下学期八年级数学大作业3 2026年山东省聊城市文轩教育集团中考数学第一次模拟试题 2026年北京市昌平区第二中学西环路学校九年级4月一模考试数学试题










精品解析:广东深圳市福田区红岭教育集团园岭中学2025-2026学年八年级下册数学阶段检测试题
精品解析:江西南昌二中九湾学校2025-2026学年第二学期八年级数学学科阶段性训练
精品解析:黑龙江哈尔滨松雷学校2025-2026学年下学期四月份七年级数学闯关卷
精品解析:江苏苏州工业园区金鸡湖学校2025-2026学年下学期九年级数学零模试卷
精品解析:2026年山东日照市北京路中学中考一模数学试卷










(微信里面识别下面图码)




































