课程报名链接请点击文章下方阅读全文

📚题目

🔍分析
❝此题其实是某年竞赛真题的改编题,但是被笔者所推广,废话不多说让我们来看一下我们讲义中的解答!
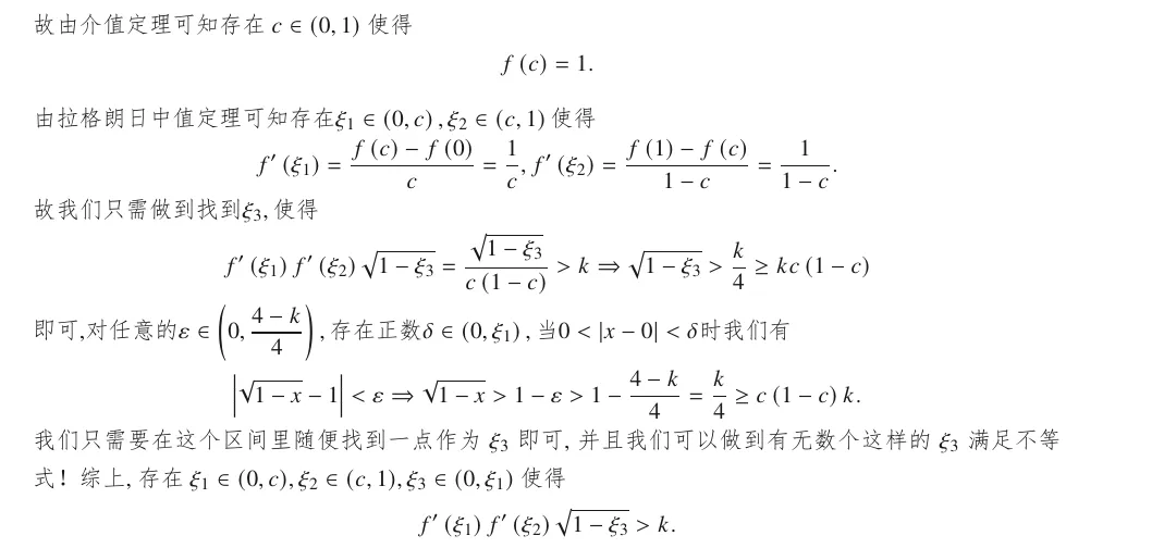
🧠解答




于是我们完成了证明,怎么样是不是很简单呢!✨
文章来源:
四季读书网
版权声明:本文内容由互联网用户自发贡献,该文观点仅代表作者本人。本站仅提供信息存储空间服务,不拥有所有权,不承担相关法律责任。如发现本站有涉嫌抄袭侵权/违法违规的内容, 请发送邮件至23467321@qq.com举报,一经查实,本站将立刻删除;如已特别标注为本站原创文章的,转载时请以链接形式注明文章出处,谢谢!