电学多挡位问题是 2026 年中考必考重点题型,今天小编教大家三步破解大招,这套方法精准对标广东中考物理高频考点,从题型拆解到解题步骤,从公式应用到实战训练,吃透这三步,电学多挡位问题直接拿捏!

第一步:拆解串联电路中的多挡位计算




小试牛刀,实战训练


第二步:拆解并联电路中的多挡位计算




小试牛刀,实战训练


第三步:串、并联互换型电路的计算


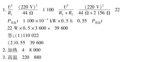
答案:




2026 广东中考物理冲刺,吃透高频考点、拉分难点,在必考题型上不丢分、多提分!
文章来源:
四季读书网
版权声明:本文内容由互联网用户自发贡献,该文观点仅代表作者本人。本站仅提供信息存储空间服务,不拥有所有权,不承担相关法律责任。如发现本站有涉嫌抄袭侵权/违法违规的内容, 请发送邮件至23467321@qq.com举报,一经查实,本站将立刻删除;如已特别标注为本站原创文章的,转载时请以链接形式注明文章出处,谢谢!