👇👇👇免费进学习资料群!

以微课堂学习群
奥数国家级教练与四名特级
教师联手执教。
圆锥曲线11大常考题型如下
题型一:数形结合确定直线和圆锥曲线的位置关系 题型二:弦的垂直平分线问题 题型三:动弦过定点的问题 题型四:过已知曲线上定点的弦的问题 题型五:共线向量问题 题型六:面积问题 题型七:弦或弦长为定值问题 题型八:角度问题 题型九:四点共线问题 题型十:范围问题(本质是函数问题) 题型十一:存在性问题(存在点、直线y=kx+b、实数、圆形、三角形、四边形等)
题型一:数形结合确定直线和圆锥曲线的位置关系
题型二:弦的垂直平分线问题
题型三:动弦过定点的问题
题型四:过已知曲线上定点的弦的问题
题型五:共线向量问题
题型六:面积问题
题型七:弦或弦长为定值问题
题型八:角度问题
题型九:四点共线问题
题型十:范围问题(本质是函数问题)
题型十一:存在性问题(存在点、直线y=kx+b、实数、圆形、三角形、四边形等)
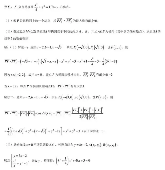
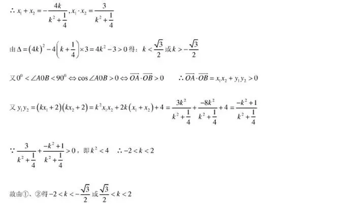
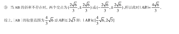
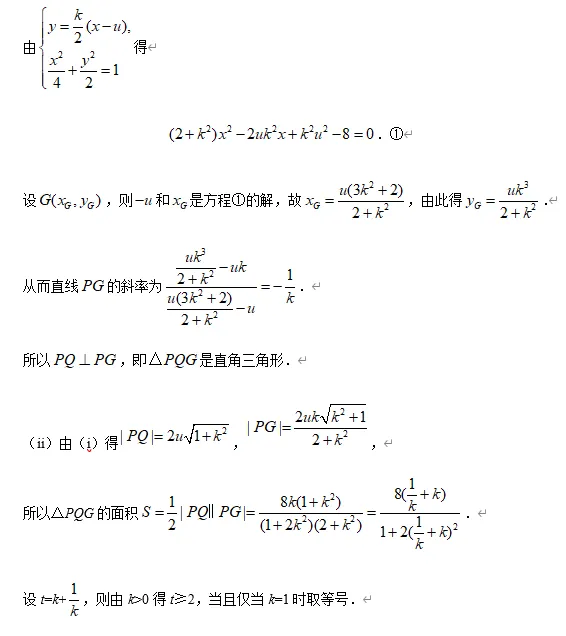
例1:
例2:
例3:
例4:
例5:
例6:
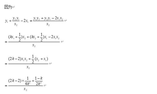
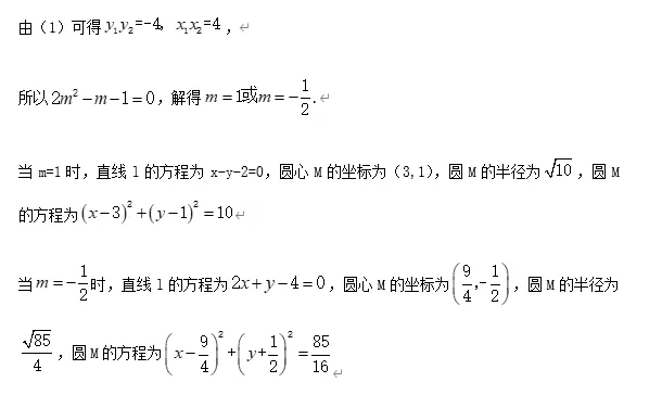
刷有所得:确定圆的方程方法
(1)直接法:根据圆的几何性质,直接求出圆心坐标和半径,进而写出方程.
(2)待定系数法
①若已知条件与圆心和半径有关,则设圆的标准方程依据已知条件列出关于的方程组,从而求出的值;
②若已知条件没有明确给出圆心或半径,则选择圆的一般方程,依据已知条件列出关于D、E、F的方程组,进而求出D、E、F的值.
例7:
答案:
解析:
刷有所得:该题考查的是有关直线与椭圆的问题,涉及到的知识点有直线方程的两点式、直线与椭圆相交的综合问题、关于角的大小用斜率来衡量,在解题的过程中,第一问求直线方程的时候,需要注意方法比较简单,需要注意的就是应该是两个,关于第二问,在做题的时候需要先将特殊情况说明,一般情况下,涉及到直线与曲线相交都需要联立方程组,之后韦达定理写出两根和与两根积,借助于斜率的关系来得到角是相等的结论.
例8:
解析:
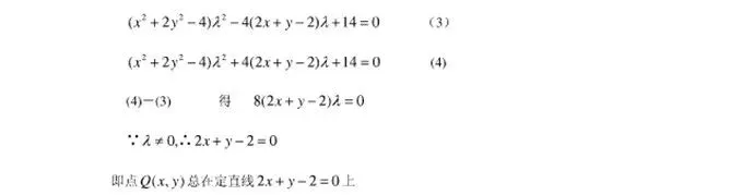
定点问题
例9:
解析:
例10:
例11:
解析:
例12:
例13:
答案:
例14:
例15:
解析:
离心率问题
例16:
答案:D
解析:
刷有所得:椭圆定义的应用主要有两个方面:一是判断平面内动点与两定点的轨迹是否为椭圆,二是利用定义求焦点三角形的周长、面积、椭圆的弦长及最值和离心率问题等;“焦点三角形”是椭圆问题中的常考知识点,在解决这类问题时经常会用到正弦定理,余弦定理以及椭圆的定义.
例17:
答案:C
解析:
例18:
答案:C
解析:
刷有所得:求离心率的值或范围就是找的值或关系。由想到点M的轨迹为以原点为圆心,半径为的圆。再由点M在椭圆的内部,可得,因为。所以由得,由关系求离心率的范围。
例19:
答案:A
解析:
刷有所得:本题主要考查椭圆的定义及离心率以及双曲线的定义及离心率,属于中档题. 离心率的求解在圆锥曲线的考查中是一个重点也是难点,一般求离心率有以下几种情况:①直接求出,从而求出;②构造的齐次式,求出;③采用离心率的定义以及圆锥曲线的定义来求解;④根据圆锥曲线的统一定义求解.
例20:
答案:D
解析:
例21:
答案:A
解析:
刷有所得:解决椭圆和双曲线的离心率的求值及取值范围问题,其关键就是确立一个关于的方程或不等式,再根据的关系消掉得到的关系式,而建立关于的方程或不等式,要充分利用椭圆和双曲线的几何性质、点的坐标的范围等.
例22:
答案:A
解析:
刷有所得:
例23:
答案:A
解析:
例24:
例25:
例26:
答案:C
解析:
例27:
例28:
答案:C
解析:
例29:
例30:
答案:D
解析:
例31:
例32:
例33:
来源网络,侵删
👇👇👇免费进学习资料群!

以微课堂学习群
奥数国家级教练与四名特级
教师联手执教。
温馨提示
试卷word打印版获取方法:点击阅读原文加学习资料群获取。
《以微课堂高中版》,江苏省数学名师、数学奥林匹克国家一级教练员,联手四名特级教师共同打造。
需要试卷电子打印版点击"阅读原文"





































































































