

试卷整体难度适中,考察范围为七下前三单元的学习内容,知识点覆盖较为全面。
二、经典题型分析
(一)易错题
【选择压轴题】


·选择压轴题考查了不等式的性质,熟练掌握不等式的性质是解题关键。
【填空压轴题】


·填空压轴题考查了一元一次方程的解法和一元一次不等式组的解法,需要结合题目定义联立不等式求出整数解的情况,正确解一元一次方程和一元一次不等式组是解题的关键。
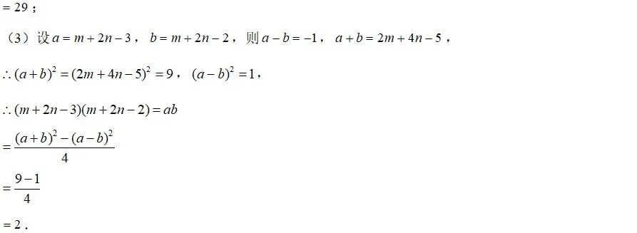
【解答压轴题】



·解答压轴题为几何背景下的代数恒等式,综合性强。难点在于考生需要结合多种思想用于解题,极易出错。

文章来源:
四季读书网
版权声明:本文内容由互联网用户自发贡献,该文观点仅代表作者本人。本站仅提供信息存储空间服务,不拥有所有权,不承担相关法律责任。如发现本站有涉嫌抄袭侵权/违法违规的内容, 请发送邮件至23467321@qq.com举报,一经查实,本站将立刻删除;如已特别标注为本站原创文章的,转载时请以链接形式注明文章出处,谢谢!