2026崇明区高三二模数学【试卷】和【答案解析】,电子版可下载

四季读书网 8 0
2026崇明区高三二模数学【试卷】和【答案解析】,电子版可下载
往期试卷点击下方合集链接,二模结束后会统一整理合集,目前试卷刚出,图片凑合看看2026崇明区高三二模数学【试卷】和【答案解析】,电子版可下载 第1张
高三二模数学试卷
获取方式在文后,网盘分享,自动回复
2026崇明区高三二模数学【试卷】和【答案解析】,电子版可下载 第2张
2026崇明区高三二模数学【试卷】和【答案解析】,电子版可下载 第3张
2026崇明区高三二模数学【试卷】和【答案解析】,电子版可下载 第4张
2026崇明区高三二模数学【试卷】和【答案解析】,电子版可下载 第5张
2026崇明区高三二模数学【试卷】和【答案解析】,电子版可下载 第6张
2026崇明区高三二模数学【试卷】和【答案解析】,电子版可下载 第7张
2026崇明区高三二模数学【试卷】和【答案解析】,电子版可下载 第8张
2026崇明区高三二模数学【试卷】和【答案解析】,电子版可下载 第9张
2026崇明区高三二模数学【试卷】和【答案解析】,电子版可下载 第10张
2026崇明区高三二模数学【试卷】和【答案解析】,电子版可下载 第11张
2026崇明区高三二模数学【试卷】和【答案解析】,电子版可下载 第12张
2026崇明区高三二模数学【试卷】和【答案解析】,电子版可下载 第13张
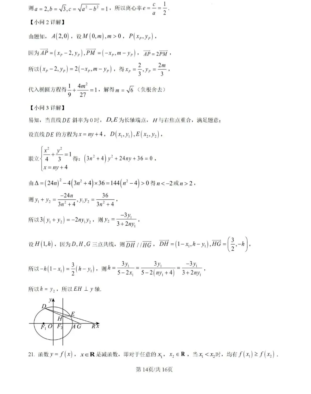
2026崇明区高三二模数学【试卷】和【答案解析】,电子版可下载 第14张
2026崇明区高三二模数学【试卷】和【答案解析】,电子版可下载 第15张
2026崇明区高三二模数学【试卷】和【答案解析】,电子版可下载 第16张
2026崇明区高三二模数学【试卷】和【答案解析】,电子版可下载 第17张
2026崇明区高三二模数学【试卷】和【答案解析】,电子版可下载 第18张
2026崇明区高三二模数学【试卷】和【答案解析】,电子版可下载 第19张
2026崇明区高三二模数学【试卷】和【答案解析】,电子版可下载 第20张
2026崇明区高三二模数学【试卷】和【答案解析】,电子版可下载 第21张
点击关注,发消息崇明二模
免费获取无水印电子版

抱歉,评论功能暂时关闭!