广东省佛山禅城区2025年中考二模数学试卷答案精析(2)

四季读书网 6 0
广东省佛山禅城区2025年中考二模数学试卷答案精析(2)
广东省佛山禅城区2025年中考二模数学试卷答案精析(2) 第1张
广东省佛山禅城区2025年中考二模数学试卷答案精析(2) 第2张
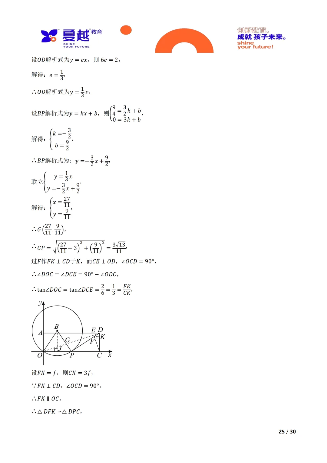
广东省佛山禅城区2025年中考二模数学试卷答案精析(2) 第3张
广东省佛山禅城区2025年中考二模数学试卷答案精析(2) 第4张
广东省佛山禅城区2025年中考二模数学试卷答案精析(2) 第5张
广东省佛山禅城区2025年中考二模数学试卷答案精析(2) 第6张
广东省佛山禅城区2025年中考二模数学试卷答案精析(2) 第7张
广东省佛山禅城区2025年中考二模数学试卷答案精析(2) 第8张
广东省佛山禅城区2025年中考二模数学试卷答案精析(2) 第9张
广东省佛山禅城区2025年中考二模数学试卷答案精析(2) 第10张

抱歉,评论功能暂时关闭!