高考考前必做真题:2025年新高考1卷第11题(全网最大胆的做法!!)

四季读书网 9 0
高考考前必做真题:2025年新高考1卷第11题(全网最大胆的做法!!)
先点赞,再观看,好习惯!
2025年新高考1卷第11题非常有难度,值得反复回味!
高考考前必做真题:2025年新高考1卷第11题(全网最大胆的做法!!) 第1张
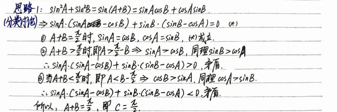
其中一个式子是来源于1983年苏联数学奥林匹克试题:
高考考前必做真题:2025年新高考1卷第11题(全网最大胆的做法!!) 第2张
惊不惊喜意不意外?
其实,大可不必担忧!
想知道最优做法,请翻到最后!
大部分同学只能得到A选项的2分,由二倍角公式易得。
高考考前必做真题:2025年新高考1卷第11题(全网最大胆的做法!!) 第3张
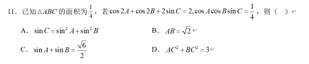
对于B,C,D选项,需要把三角形ABC确定出来,才能作出判断。
本题的难点就是对于条件cos2A+cos2B+2sinC=2的处理!
思路一:消元+分类讨论
高考考前必做真题:2025年新高考1卷第11题(全网最大胆的做法!!) 第4张
思路二:放缩
高考考前必做真题:2025年新高考1卷第11题(全网最大胆的做法!!) 第5张
思路三:和差化积+放缩
高考考前必做真题:2025年新高考1卷第11题(全网最大胆的做法!!) 第6张
思路四:和差化积
高考考前必做真题:2025年新高考1卷第11题(全网最大胆的做法!!) 第7张
思路五:放缩
高考考前必做真题:2025年新高考1卷第11题(全网最大胆的做法!!) 第8张
思路五是最优做法之一!
利用两次放缩轻松搞定,而且放缩用的知识非常简单!
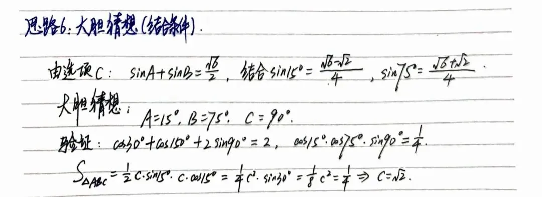
思路六:大胆猜想
高考考前必做真题:2025年新高考1卷第11题(全网最大胆的做法!!) 第9张
网上流传的猜想!
联想到15度,75度的正余弦值,结合选项C,可以猜想角C为直角==
怎么说呢?
有一定的道理,那我只能来最猛的了!
思路七:最牛猜想!!!!
网上喜欢给猜想,我也来个猜想!!
高考考前必做真题:2025年新高考1卷第11题(全网最大胆的做法!!) 第10张
看见A选项,马上联想到齐次式与勾股定理!再看题目条件第2个与第3个,三个角都未知!高考命题专家,绝对不可能让学生硬解的!一定要读懂,命题老师的心理!非常重要!
因此,某个角的角度绝对非常特殊,一定为特殊值!!
此时,猜想C为直角,再将C为直角,代入题目验证。
发现,可以!那么,这个题目你大概率做对了!!!
其实,利用思路五的放缩也能得到C角的范围,如果得到C的范围是锐角或者直角,那为什么不猜想一下C为直角呢?临界位置非常重要啊!
得到C为直角之后,最后的选项容易验证了:
高考考前必做真题:2025年新高考1卷第11题(全网最大胆的做法!!) 第11张
答案:ABC!
点赞!!!点赞!!!点赞!!!
重要的事情说三遍!!!
你的老友希望这个公众号(数学老友笔记)成为他的笔记本,记录他对数学试题,特别是高考数学真题的所思所感所悟;你的好友愿意分享他的解题思路与思考,是因为他期待有同学能够产生共鸣,以助力你们更好地发展,同时,也能不断提升老友的数学学科素养。当然,老友毕竟是老友,若有错误或不当之处,还望你们指正,并且谅解老友。路漫漫其修远兮,吾将上下而求索,希望你们在人生道路上心有暖阳,向上生长,勇敢追梦!
如果喜欢你的老友,请关注你的老友!
如果喜欢文章,请点赞!点赞!点赞给我动力哟!

抱歉,评论功能暂时关闭!