2026年高考模拟考试数学试卷+参考答案

四季读书网 9 0
2026年高考模拟考试数学试卷+参考答案
2026年高考模拟考试数学试卷+参考答案 第1张
2026年高考模拟考试数学试卷+参考答案 第2张
2026年高考模拟考试数学试卷+参考答案 第3张
2026年高考模拟考试数学试卷+参考答案 第4张
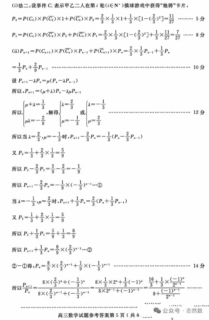
2026年高考模拟考试数学试卷+参考答案 第5张
2026年高考模拟考试数学试卷+参考答案 第6张
2026年高考模拟考试数学试卷+参考答案 第7张
2026年高考模拟考试数学试卷+参考答案 第8张
2026年高考模拟考试数学试卷+参考答案 第9张
2026年高考模拟考试数学试卷+参考答案 第10张

抱歉,评论功能暂时关闭!