上海市奉贤中学高二数学练习试卷及答案

四季读书网 9 0
上海市奉贤中学高二数学练习试卷及答案
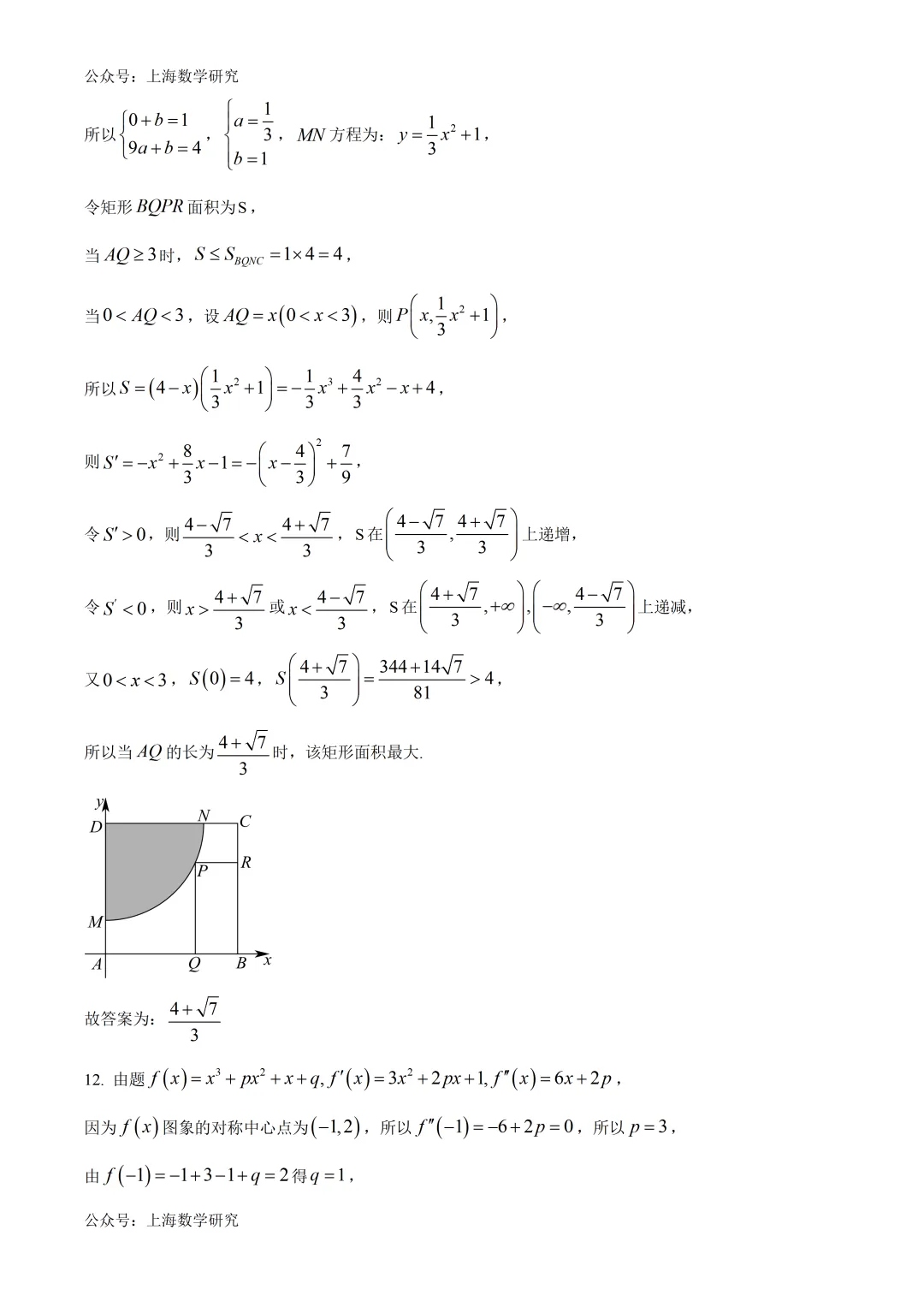
上海市奉贤中学高二数学练习试卷及答案 第1张
上海市奉贤中学高二数学练习试卷及答案 第2张
上海市奉贤中学高二数学练习试卷及答案 第3张
上海市奉贤中学高二数学练习试卷及答案 第4张
上海市奉贤中学高二数学练习试卷及答案 第5张
上海市奉贤中学高二数学练习试卷及答案 第6张
上海市奉贤中学高二数学练习试卷及答案 第7张
上海市奉贤中学高二数学练习试卷及答案 第8张
上海市奉贤中学高二数学练习试卷及答案 第9张
上海市奉贤中学高二数学练习试卷及答案 第10张
上海市奉贤中学高二数学练习试卷及答案 第11张
上海市奉贤中学高二数学练习试卷及答案 第12张
上海市奉贤中学高二数学练习试卷及答案 第13张
上海市奉贤中学高二数学练习试卷及答案 第14张

抱歉,评论功能暂时关闭!