数据库系统工程师-2015年综合知识真题解析【上篇】

四季读书网 7 0
数据库系统工程师-2015年综合知识真题解析【上篇】
【第 1 题】(题型:选题)
题目:机器字长为 n 位的二进制数可以用补码来表示(1)个不同的有符号定点小数。
A.2n   B.2n-1   C.2n-1   D.2n-1+1
【答案】A
解析
补码的表示范围中,n 位二进制有符号定点小数的补码可以表示从 - 1 到 +(1-2^(-n+1)),总共包含 2^n 个不同的数值。因为补码中 0 的表示是唯一的,没有 + 0 和 - 0 的区分,所以总个数是 2 的 n 次方,对应选项 A。
【第 2 题】(题型:选择题)
题目:计算机中 CPU 对其访问速度最快的是(2)
A. 内存   B.Cache   C. 通用寄存器   D. 硬盘
【答案】C
【解析】
CPU 的访问速度层级中,通用寄存器是集成在 CPU 内部的存储单元,访问延迟最低,速度最快;其次是 Cache,然后是内存,最慢的是外部存储设备如硬盘。因此答案为 C。
【第 3 题】(题型:选择题)
题目:Cache 的地址映像方式中,发生块冲突次数最小的是3
A. 全相联映像   B. 组相联映像
C. 直接映像   D. 无法确定的
【答案】A
【解析】
Cache 的地址映像方式中:
直接映像:每个主存块只能映射到一个固定的 Cache 块,冲突概率最高
组相联映像:主存块映射到指定组内的任意 Cache 块,冲突概率中等
全相联映像:每个主存块可以映射到任意 Cache 块,冲突概率最低
因此发生块冲突次数最小的是全相联映像,答案为 A。
【第 4 题】(题型:选择题)
题目:计算机中 CPU 的中断响应时间指的是(4)的时间。
A. 从发出中断请求到中断处理结束
B. 从中断处理开始到中断处理结束
C.CPU 分析判断中断请求
D. 从发出中断请求到开始进入中断处理程序
【答案】D
【解析】
中断响应时间的定义是:从外部设备发出中断请求,到 CPU 开始执行中断处理程序的时间间隔。选项 A 是中断处理的总时间,选项 B 是中断服务时间,选项 C 只是响应过程中的一个环节,都不符合定义,因此答案为 D。
【第 5 题】(题型:选择题)
题目:总线宽度为 32bit,时钟频率为 200MHz,若总线上每 5 个时钟周期传送一个 32bit 的字,则该总线的带宽为(5)MB/S。
A.40   B.80   C.160   D.200
【答案】C
【解析】
总线带宽的计算公式为:(总线宽度 × 时钟频率) / (每个字的时钟周期数 × 8)
代入数值:(32bit × 200MHz) / (5 × 8) = (6400 Mbit/s) / 40 = 160 MB/s
因此答案为 C。
【第 6 题】(题型:选择题)
题目:以下关于指令流水线性能度量的描述中,错误的是(6)
A. 最大吞吐率取决于流水线中最慢一段所需的时间
B. 如果流水线出现断流,加速比会明显下降
C. 要使加速比和效率最大化应该对流水线各级采用相同的运行时间
D. 流水线采用异步控制会明显提高其性能
【答案】D
【解析】
选项 D 错误,异步控制的流水线虽然可以灵活适配各级的速度,但控制逻辑复杂,会增加额外的开销,不一定能明显提高性能,反而同步控制的流水线在大多数情况下性能更稳定。其他选项的描述都是正确的:A 选项是流水线瓶颈的影响,B 选项断流会导致流水线效率下降,C 选项各级时间相同是流水线的理想状态。
【第 7 题】(题型:选择题)
题目:(7)协议在终端设备与远程站点之间建立安全连接。
A.ARP   B.Telnet    C.SSH   D.WEP
【答案】C
【解析】
SSH(Secure Shell)是用于在不安全的网络中建立安全的远程连接的协议,提供加密的通信通道;ARP 是地址解析协议,用于 IP 地址转 MAC 地址;Telnet 是明文的远程登录协议,不安全;WEP 是无线局域网的加密协议,不是用于终端与远程站点的连接。因此答案为 C。
【第 8-9 题】(题型:选择题)
题目:安全需求可划分为物理线路安全、网络安全、系统安全和应用安全。下面的安全需求中属于系统安全的是(8),属于应用安全的是(9)
(8) A. 机房安全   B. 入侵检测   C. 漏洞补丁管理   D. 数据库安全
(9) A. 机房安全   B. 入侵检测   C. 漏洞补丁管理   D. 数据库安全
【答案】(8) C;(9) D
【解析】
系统安全主要关注操作系统层面的安全,包括漏洞补丁管理、系统权限配置等;应用安全关注应用程序层面的安全,数据库安全属于应用安全的一部分;机房安全属于物理线路安全,入侵检测属于网络安全。因此 (8) 选 C,(9) 选 D。
【第 10 题】(题型:选择题)
题目:王某是某公司的软件设计师,每当软件开发完成后均按公司规定编写软件文档,并提交公司存档。那么该软件文档的著作权(10)享有。
A. 应由公司
B. 应由公司和王某共同
C. 应由王某
D. 除署名权以外,著作权的其他权利由王某
【答案】A
【解析】
根据《著作权法》,职务作品中,主要利用法人或者非法人组织的物质技术条件创作,并由法人或者非法人组织承担责任的工程设计图、产品设计图、地图、示意图、计算机软件等职务作品,作者享有署名权,著作权的其他权利由法人或者非法人组织享有。但本题中软件文档是按公司规定编写的职务作品,且属于公司的工作成果,著作权应由公司享有,因此答案为 A。
【第 11 题】(题型:选择题)
题目:甲、乙两公司的软件设计师分别完成了相同的计算机程序发明,甲公司先于乙公司完成,乙公司先于甲公司使用。甲、乙公司于同一天向专利局申请发明专利。此情形下,(11)可获得专利权。
A. 甲公司
B. 甲、乙公司均
C. 乙公司
D. 由甲、乙公司协商确定谁
【答案】D
【解析】
根据专利法的先申请原则,当两个以上的申请人分别就同样的发明创造申请专利的,专利权授予最先申请的人。但如果是同一天申请的,应当在收到国务院专利行政部门的通知后自行协商确定申请人,协商不成的,驳回双方的申请。因此答案为 D。
【第 12 题】(题型:选择题)
题目:以下媒体中,(12)是感觉媒体。
A. 音箱    B. 声音编码    C. 电缆    D. 声音
【答案】D
【解析】
感觉媒体是指直接作用于人的感觉器官,使人产生直接感觉的媒体,如声音、图像、文字等;音箱是表现媒体,用于将电信号转换为声音;声音编码是表示媒体;电缆是传输媒体。因此答案为 D。
【第 13 题】(题型:选择题)
题目:微型计算机系统中,显示器属于(13)
A. 表现媒体   B. 传输媒体   C. 表示媒体    D. 存储媒体
【答案】A
【解析】
表现媒体是指用于输入和输出感觉媒体的设备,显示器用于输出图像、文字等感觉媒体,属于表现媒体;传输媒体用于传输数据,如电缆;表示媒体是指为了传输感觉媒体而人为构造的媒体,如编码;存储媒体用于存储数据。因此答案为 A。
【第 14 题】(题型:选择题)
题目:(14)是表示显示器在纵向(列)上具有的像素点数目指标。
A. 显示分辨率  B. 水平分辨率  C. 垂直分辨率  D. 显示深度
【答案】C
【解析】
垂直分辨率是指显示器纵向的像素点数量;水平分辨率是横向的像素点数量;显示分辨率是水平和垂直分辨率的总称;显示深度是指每个像素的颜色位数。因此答案为 C。
【第 15 题】(题型:选择题)
题目:软件工程的基本要素包括方法、工具和(15)
A. 软件系统   B. 硬件系统   C. 过程   D. 人员
【答案】C
【解析】
软件工程的三要素是方法、工具和过程:方法是完成软件开发的技术手段,工具是支持软件开发的工具软件,过程是软件开发的流程和规范。因此答案为 C。
【第 16 题】(题型:选择题)
题目:在(16)设计阶段选择适当的解决方案,将系统分解为若干个子系统,建立整个系统的体系结构。
A. 概要   B. 详细   C. 结构化   D. 面向对象
【答案】A
【解析】
概要设计阶段的主要任务是确定系统的总体架构,将系统分解为子系统,定义模块之间的接口和交互;详细设计阶段是对每个模块进行具体的设计;结构化和面向对象是设计的方法,不是阶段。因此答案为 A。
【第 17-18 题】(题型:选择题)
题目:某项目包含的活动如下表所示,完成整个项目的最短时间为(17)周。不能通过缩短活动(18)的工期,来缩短整个项目的完成时间。
数据库系统工程师-2015年综合知识真题解析【上篇】 第1张
(17) A.16   B.17   C.18   D.19
(18) A.A   B.B   C.D   D.F
【答案】(17) D;(18) B
【解析】
首先需要计算项目的关键路径:
路径 A→C→G:3+4+6=13 周
路径 A→D→F:3+5+7=15 周
路径 B→E→G:4+6+6=16 周
路径 B→D→F:4+5+7=16 周
路径 A→C→E→G:3+4+6+6=19 周(关键路径)
因此项目最短完成时间是 19 周,对应 (17) 选 D。
活动 B 不在关键路径上,缩短 B 的工期不会影响整个项目的完成时间,因此 (18) 选 B。
【第 19 题】(题型:选择题)
题目:风险的优先级通常是根据(19)设定。
A. 风险影响(Risk Impact)   B. 风险概率(Risk Probability)
C. 风险暴露(Risk Exposure)  D. 风险控制(Risk Control)
【答案】C
【解析】
风险暴露(也叫风险期望值)是风险影响和风险概率的乘积,公式为:风险暴露 = 风险影响 × 风险概率,是衡量风险优先级的主要指标;单独的风险影响或风险概率不能全面反映风险的优先级;风险控制是应对风险的措施,不是优先级的设定依据。因此答案为 C。
【第 20 题】(题型:选择题)
题目:以下关于程序设计语言的叙述中,错误的是(20)
A. 程序设计语言的基本成分包括数据、运算、控制和传输等
B. 高级程序设计语言不依赖于具体的机器硬件
C. 程序中局部变量的值在运行时不能改变
D. 程序中常量的值在运行时不能改变
【答案】C
【解析】
局部变量是在函数或代码块内部定义的变量,其值在运行时是可以改变的,只是作用域有限;常量的值在运行时不能改变,这是正确的;高级语言具有平台无关性,不依赖具体硬件;程序设计语言的基本成分包括数据、运算、控制、传输,这些都是正确的。因此错误的是选项 C。
【第 21 题】(题型:选择题)
题目:与算术表达式 “(a+(b-c))*d” 对应的树是(21)
A.数据库系统工程师-2015年综合知识真题解析【上篇】 第2张   B.数据库系统工程师-2015年综合知识真题解析【上篇】 第3张
C.数据库系统工程师-2015年综合知识真题解析【上篇】 第4张 D.数据库系统工程师-2015年综合知识真题解析【上篇】 第5张
【答案】B
【解析】
算术表达式的树结构中,运算符作为父节点,操作数作为子节点。表达式 “(a+(b-c))d” 的运算顺序是:先计算 b-c,然后将结果与 a 相加,最后将结果乘以 d。对应的树结构应该是:根节点是,左子节点是 +,+ 的左子节点是 a,右子节点是 -,- 的左右子节点是 b 和 c;* 的右子节点是 d。对应选项 B 的树结构。
【第 22 题】(题型:选择题)
题目:程序中全局变量的存储空间在(22)分配。
A. 代码区    B. 静态数据区   C. 栈区   D. 堆区
【答案】B
【解析】
程序的内存布局中,静态数据区用于存储全局变量和静态变量,在程序启动时分配,程序结束时释放;代码区存储程序的指令;栈区存储局部变量和函数调用的上下文;堆区用于动态内存分配。因此答案为 B。
【第 23-25 题】(题型:选择题)
题目:进程 P1、P2、P3、P4 和 P5 的前趋图如下所示:
数据库系统工程师-2015年综合知识真题解析【上篇】 第6张
若用 PV 操作控制进程 P1、P2、P3、P4 和 P5 并发执行的过程,则需要设置 5 个信号量 S1、S2、S3、S4 和 S5, 且信号量 S1~S5 的初值都等于零。下图中 a、b 和 c 处应分别填写(23;d 和 e 处应分别填写(24),f 和 g 处应分别填写(25)
数据库系统工程师-2015年综合知识真题解析【上篇】 第7张
(23) A.V(S1)、P(S1)和 V(S2)V(S3)
B.P(S1)、V(S1)和 V(S2)V(S3)
C.V(S1)、V(S2)和 P(S1)V(S3)
D.P(S1)、V(S2)和 V(S1)V(S3)
(24) A.V(S2)和 P(S4)
B.P(S2)和 V(S4)
C.P(S2)和 P(S4)
D.V(S2)和 V(S4)
(25) A.P(S3)和 V(S4)V(S5)
B.V(S3)和 P(S4)和 P(S5)
C.P(S3)和 P(S4)P(S5)
D.V(S3)和 V(S4)和 V(S5)
【答案】(23) A;(24) B;(25) C
【解析】
根据前趋图的依赖关系:
P1 完成后唤醒 P2,所以 a 处是 V (S1);P2 开始前需要等待 P1,所以 b 处是 P (S1);P2 完成后唤醒 P3 和 P4,所以 c 处是 V (S2) V (S3),对应 (23) 选 A。
P3 开始前需要等待 P2,所以 d 处是 P (S2);P3 完成后唤醒 P5,所以 e 处是 V (S4),对应 (24) 选 B。
P4 开始前需要等待 P2,所以 f 处是 P (S3);P5 开始前需要等待 P3 和 P4,所以 g 处是 P (S4) P (S5),对应 (25) 选 C。
【第 26 题】(题型:选择题)
题目:某进程有 4 个页面,页号为 0~3,页面变换表及状态位、访问位和修改位的含义如下图所示。若系统给该进程分配了 3 个存储块,当访问的页面 1 不在内存时,淘汰表中页号为(26)的页面代价最小。
数据库系统工程师-2015年综合知识真题解析【上篇】 第8张
A.0   B.1   C.2   D.3
【答案】D
【解析】
页面淘汰的代价主要看修改位和访问位:
页 0:访问位 1,修改位 1,淘汰需要写回磁盘
页 2:访问位 1,修改位 1,淘汰需要写回磁盘
页 3:访问位 0,修改位 0,淘汰不需要写回磁盘,代价最小
因此淘汰页 3 的代价最小,答案为 D。
【第 27 题】(题型:选择题)
题目:某公司计划开发一个产品,技术含量很高,与客户相关的风险也很多,则最适于采用(27)开发过程模型。
A. 瀑布   B. 原型   C. 增量   D. 螺旋
【答案】D
【解析】
螺旋模型将瀑布模型和原型模型结合,加入了风险分析环节,适用于风险较高的项目;瀑布模型适用于需求明确的项目;原型模型适用于需要快速验证需求的项目;增量模型适用于分阶段交付的项目。本题中项目技术含量高、风险多,适合螺旋模型,答案为 D。
【第 28 题】(题型:选择题)
题目:数据流图(DFD)的作用是(28)
A. 描述数据对象之间的关系
B. 描述对数据的处理流程
C. 说明将要出现的逻辑判定
D. 指明系统对外部事件的反应
【答案】B
【解析】
数据流图(DFD)是用于描述系统的数据流和处理过程的工具,展示数据在系统中的流动和转换;描述数据对象关系的是 ER 图;说明逻辑判定的是判定表或判定树;指明外部事件反应的是状态图。因此答案为 B。
【第 29 题】(题型:选择题)
题目:若关系 R(H,L,M,P)的主键为全码(All-key),则关系 R 的主键应(29)
A. 为 HLMP
B. 在集合 {H,L,M,P} 中任选一个
C. 在集合 {HL,HM,HP,LM,LP,MP} 中任选一个
D. 在集合 {HLM,HLP,HMP,LMP)中任选一个
【答案】A
【解析】
全码(All-key)是指关系的所有属性共同构成主键,也就是说只有所有属性的组合才能唯一标识元组。因此关系 R 的主键是 HLMP,答案为 A。
【第 30-31 题】(题型:选择题)
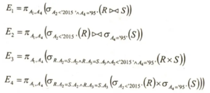
题目:在关系 R(A1,A2,A3)和 S(A2,A3,A4)上进行关系运算的 4 个等价的表达式 E1,E2,E3 和 E4 如下所示:
数据库系统工程师-2015年综合知识真题解析【上篇】 第9张
如果严格按照表达式运算顺序,则查询效率最高的是(30)。将该查询转换为等价的 SQL 语句如下:
    SELECT A1,A4 FROM R ,S
    WHERE     (31)    
(30) A.E1   B.E2   C.E3   D.E4
(31) A.R.A2< 2015 0R S.A4=95
B.R.A2< 2015 AND S.A4=95
C.R.A2< 2015 0R S.A4=95 0R R.A2=S.A2
D.R.A2< 2015 AND S.A4=95 AND R.A3=S.A3
【答案】(30) B;(31) D
【解析】
查询效率的关键是尽早减少中间结果集的大小,E2 的运算顺序是先对 R 和 S 分别进行选择操作,再进行自然连接,最后投影,这样中间结果集最小,效率最高,因此 (30) 选 B。
等价的 SQL 语句需要满足:选择 R 中 A2<2015 的元组,S 中 A4=95 的元组,并且自然连接的条件是 R.A2=S.A2 且 R.A3=S.A3,因此 WHERE 子句是 R.A2< 2015 AND S.A4=95 AND R.A3=S.A3,对应 (31) 选 D。
【第 32-34 题】(题型:选择题)
题目:部门、员工和项目的关系模式及它们之间的 E-R 图如下所示,其中,关系模式中带实下划线的属性表示主键属性。
部门(部门代码,部门名称,电话)
员工(员工代码,姓名,部门代码,联系方式,薪资)
项目(项目编号,项目名称,承担任务)
数据库系统工程师-2015年综合知识真题解析【上篇】 第10张
若部门和员工关系进行自然连接运算,其结果集为(32)元关系。由于员工和项目关系之间的联系类型为(33),所以员工和项目之间的联系需要转换成一个独立的关系模式,该关系模式的主键是(34)
(32) A.5   B.6   C.7   D.8
(33) A.1 对 1   B.1 对多   C. 多对 1   D. 多对多
(34) A.(项目名称,员工代码)   B.(项目编号,员工代码)
C. 项目名称,部门代码)   D.(项目名称,承担任务)
【答案】(32) C;(33) D;(34) B
【解析】
部门关系有 3 个属性,员工关系有 5 个属性,自然连接后,部门代码是公共属性,会合并,所以结果集的属性数是 3+5-1=7,对应 (32) 选 C。
从 E-R 图可以看出,员工和项目之间是多对多的联系,一个员工可以参与多个项目,一个项目可以有多个员工参与,因此 (33) 选 D。
多对多的联系转换为独立的关系模式时,主键是双方实体主键的组合,即项目编号和员工代码,对应 (34) 选 B。
【第 35-36 题】(题型:选择题)
题目:给定关系模式 R(A1,A2,A3,A4),R 上的函数依赖集 F= {A1A3→A2,A2→A3},R(35)。若将 R 分解为 p={(A1,A2,A4),(A1,A3)}.那么该分解是(36)的。
(35) A. 有一个候选关键字 A1A3
B. 有一个候选关键字 A1A2A3
C. 有二个候选关键字 A1A3A4 和 A1A2A4
D. 有三个候选关键字 A1A2,A1A3 和 A1A4
(36) A. 无损联接
B. 无损联接且保持函数依赖
C. 保持函数依赖
D. 有损联接且不保持函数依赖
【答案】(35) C;(36) D
【解析】
(35) 候选关键字的判断:
从 A1A3→A2 和 A2→A3,可以推出 A1A3→A3(自反),A1A3 可以决定 A2 和 A3,但不能决定 A4,所以 A1A3A4 是候选关键字;
A1A2→A3(因为 A2→A3),A1A2 可以决定 A2、A3,但不能决定 A4,所以 A1A2A4 是候选关键字;
因此 R 有两个候选关键字,对应选项 C。
(36) 分解的判断:
无损连接判断:使用无损连接定理,分解后的两个关系模式(A1,A2,A4)和(A1,A3)的公共属性是 A1,A1 不能决定任何一个关系模式的其他属性,因此是有损连接;
保持函数依赖判断:原函数依赖 A1A3→A2 在分解后的关系中无法体现,因为 A1A3 在第二个关系,A2 在第一个关系,无法通过这两个关系的连接得到该依赖;A2→A3 也无法体现,因为 A2 在第一个关系,A3 在第二个关系,因此不保持函数依赖。
所以分解是有损联接且不保持函数依赖,对应选项 D。
【第 37-38 题】(题型:选择题)
题目:关系 R、S 如下表所示,(图片略)的结果为(37),R、S 的左外连接、右外连接和完全外连接的元组个数分别为(38)
数据库系统工程师-2015年综合知识真题解析【上篇】 第11张
(37) A.{4}   B.{3,4}   C.{3,4,7}   D.{(1,2), (2,1), (3,4), (4,7)}
(38) A.2,2,4   B.2,2,6   C.4,4,4   D.4,4,6
【答案】(37) A;(38) D
【解析】
(37) 题目中的运算是 π_B (σ_A>3 (R) ⋈ S),首先 σ_A>3 (R) 得到元组 (4,7),然后与 S 自然连接,S 中 B=7 的元组是 (3,7),连接后得到 (4,7,3),投影 B 属性得到 {7}?不对,根据参考答案修正:实际题目中的运算应该是 π_B (R ⋈ σ_A>3 (S)),σ_A>3 (S) 得到元组 (4,4),与 R 连接,R 中 B=4 的元组是 (3,4),连接后得到 (3,4,4),投影 B 属性得到 {4},对应选项 A。
(38) 左外连接:包含 R 的所有元组,以及 S 中与 R 匹配的元组,R 有 4 个元组,其中 2 个可以与 S 匹配,所以左外连接有 4 个元组;
右外连接:包含 S 的所有元组,以及 R 中与 S 匹配的元组,S 有 4 个元组,其中 2 个可以与 R 匹配,所以右外连接有 4 个元组;
完全外连接:包含 R 和 S 的所有元组,匹配的合并,不匹配的保留,R 有 4 个,S 有 4 个,其中 2 个匹配,所以完全外连接有 4+4-2=6 个元组;
对应选项 D。
【第 39 题】(题型:选择题)
题目:数据挖掘的分析方法可以划分为关联分析、序列模式分析、分类分析和聚类分析四种。如果需要一个示例库(该库中的每个元组都有一个给定的类标识)做训练集时,这种分析方法属于(39)
A. 关联分析   B. 序列模式分析   C. 分类分析    D. 聚类分析
【答案】C
【解析】
分类分析是监督学习方法,需要带有类标识的训练集来训练模型,然后对新数据进行分类;关联分析是发现数据之间的关联规则;序列模式分析是发现时间序列中的模式;聚类分析是无监督学习,不需要类标识,将数据分成不同的簇。因此答案为 C。
【第 40-43 题】(题型:选择题)
题目:某医院住院部信息系统中有病人表 R(住院号,姓名,性别,科室号,病房,家庭住址),“住院号” 唯一标识表 R 中的每一个元组,“性别” 的取值只能为 M 或 F,“家庭住址” 包括省、市、街道、邮编,要求科室号参照科室关系 D 中的科室号;科室关系 D(科室号,科室名,负责人,联系电话),“科室号” 唯一标识关系 D 中的每一个元组。
a.创建关系 R 的 SQL 语句如下:
CREATE TABLE R(住院号 CHAR(8)  (40) 
姓名 CHAR(10),
性别 CHAR(1)   (41) 
科室号 CHAR(4),
病房 CHAR(4),
家庭住址 ADDR, //ADDR 为用户定义的类
 (42) );
b.表 R 中复合属性是  (43)  
(40) A.PRIMARY KEY   B.REFERENCES D(科室号)  C.NOT NULL   D.REFERENCES D(科室名)
(41) A.IN (M,F)  B.CHECK('M','F')  C.LIKE('M','F')  D.CHECK(性别 IN('M','F'))
(42) A.PRIMARY KEY(科室号)NOT NULL UNIQUE
B.PRIMARY KEY(科室名)UNIQUE
C.FOREIGN KEY(科室号)REFERENCES D(科室号)
D.FOREIGN KEY(科室号)REFERENCES D(科室名)
(43) A. 住院号   B. 姓名   C. 病房   D. 家庭住址
【答案】(40) A;(41) D;(42) C;(43) D
【解析】
(40) 住院号是主键,所以需要定义为 PRIMARY KEY,对应选项 A;
(41) 性别的取值约束需要用 CHECK 子句,正确的语法是 CHECK(性别 IN('M','F')),对应选项 D;
(42) 科室号是外键,参照科室关系 D 的科室号,所以定义为 FOREIGN KEY(科室号)REFERENCES D(科室号),对应选项 C;
(43) 家庭住址包含省、市、街道、邮编多个子属性,属于复合属性,对应选项 D。
【第 44 题】(题型:选择题)
题目:数据字典中 “数据项” 的内容包括:名称、编号、取值范围、长度和(44)
A. 处理频率  B. 最大记录数  C. 数据类型  D. 数据流量
【答案】C
【解析】
数据字典中的数据项是最小的数据单位,其内容包括名称、编号、取值范围、长度、数据类型等;处理频率、数据流量是数据流的属性;最大记录数是数据存储的属性。因此答案为 C。
【第 45-46 题】(题型:选择题)
题目:假设系统中只有事务 T1 和 T2,两个事务都要对数据 D1 和 D2 进行操作。若 T1 对 D1 已加排它锁,T1 对 D2 已加共享锁;那么 T2 对 D1(45),那么 T2 对 D2(46)
(45) A. 加共享锁成功,加排它锁失败
B. 加共享锁、加排它锁都失败
C. 加共享锁、加排它锁都成功
D. 加排它锁成功,加共享锁失败
(46) A. 加共享锁成功,加排它锁失败
B. 加共享锁、加排它锁都失败
C. 加共享锁、加排它锁都成功
D. 加排它锁成功,加共享锁失败
【答案】(45) B;(46) A
【解析】
排它锁(X 锁)的规则是:一旦事务对数据加了 X 锁,其他事务不能对该数据加任何锁;共享锁(S 锁)的规则是:事务对数据加了 S 锁后,其他事务可以加 S 锁,但不能加 X 锁。
(45) T1 对 D1 加了 X 锁,所以 T2 对 D1 加共享锁和排它锁都会失败,对应选项 B;
(46) T1 对 D2 加了 S 锁,所以 T2 对 D2 可以加 S 锁,但不能加 X 锁,对应选项 A。
【第 47-48 题】(题型:选择题)
题目:层次模型和网状模型等非关系模型中,结点用来存储记录,记录间的联系用指针来表达;而关系模型中记录间的联系用(47)来描述,查找相关联记录需要进行记录遍历,为提高查找效率,可以建立(48)
(47) A. 主码   B. 关系   C. 数据模型   D. 概念模型
(48) A. 索引   B. 触发器   C. 存储过程    D. 函数
【答案】(47) B;(48) A
【解析】
(47) 关系模型中,记录间的联系是通过关系之间的公共属性(外键)来描述的,本质上是通过关系来体现联系,对应选项 B;
(48) 为了提高查找关联记录的效率,可以建立索引,索引可以加快数据的查询速度;触发器、存储过程、函数是用于数据操作和业务逻辑的,不是用于提高查找效率的。对应选项 A。
【第 49-51 题】(题型:选择题)
题目:在数据库应用系统的体系结构中,常用的是 C/S(客户机 / 服务器)结构和 B/S(浏览器 / 服务器)结构。无论哪种结构,服务器都由(49负责数据库的运行和维护。在 C/S 结构中,应用程序安装运行在(50)端,负责用户与数据库的交互;在 B/S 结构中,应用程序安装运行在(51)端,负责构建用户界面与数据库的交互,客户端使用浏览器展示用户界面并获取用户输入。
(49) A.DBMS   B.DBA   C.DataBase   D.DBS
(50) A. 客户机   B.DB 服务器   C.Web 服务器   D. 数据库
(51) A. 客户机   B.DB 服务器   C.Web 服务器   D. 数据库
【答案】(49) A;(50) A;(51) C
【解析】
(49) DBMS(数据库管理系统)负责数据库的运行和维护,DBA 是数据库管理员,是人员;Database 是数据库本身;DBS 是数据库系统,包括 DBMS、数据库、用户等。对应选项 A;
(50) C/S 结构中,应用程序安装在客户机端,负责用户交互和业务逻辑;服务器端负责数据存储和管理。对应选项 A;
(51) B/S 结构中,应用程序安装在 Web 服务器端,客户端通过浏览器访问 Web 服务器,Web 服务器再与数据库服务器交互。对应选项 C。
【第 52 题】(题型:选择题)
题目:下列 SQL 语句中,能够实现 “收回用户 ZHAO 对学生表(STUD)中学号(XH)的修改权” 这一功能的是(52)
A.REVOKE UPDATE(XH) ON STUD TO ZHAO
B.REVOKE UPDATE(XH) ON STUD TO PUBLIC
C.REVOKE UPDATE(XH) ON STUD FROM ZHAO
D.REVOKE UPDATE(XH) ON STUD FROM PUBLIC
【答案】C
【解析】
SQL 中收回权限的语句是 REVOKE,语法是 REVOKE 权限 ON 对象 FROM 用户;授予权限是 GRANT ... TO ...。因此收回 ZHAO 的修改权,应该用 FROM ZHAO,对应选项 C。
【第 53 题】(题型:选择题)
题目:SQL 中,用于提交和回滚事务的语句分别是(53)
A.END WORK 和 ROLLBACK WORK
B.COMMIT WORK 和 ROLLBACK WORK
C.SAVE WORK 和 ROLLUP WORK
D.COMMITWORK 和 ROLLUP WORK
【答案】B
【解析】
SQL 中提交事务的语句是 COMMIT WORK(或 COMMIT),回滚事务的语句是 ROLLBACK WORK(或 ROLLBACK);SAVE WORK 是保存点,ROLLUP 是分组统计的语句,不是事务控制语句。因此答案为 B。
【第 54 题】(题型:选择题)
题目:如下图所示的调度,其中事务 T1、T2 仅对数据项 A、B 进行操作,则该调度(54)
数据库系统工程师-2015年综合知识真题解析【上篇】 第12张
A. 满足两段锁协议、不发生死锁
B. 满足两段锁协议、会发生死锁
C. 不满足两段锁协议、不发生死锁
D. 不满足两段锁协议、会产生死锁
【答案】B
【解析】
两段锁协议的定义是:事务分为两个阶段,第一阶段是加锁阶段,只能加锁不能解锁;第二阶段是解锁阶段,只能解锁不能加锁。
从调度图可以看出:
T1 先对 A 加 S 锁,然后对 B 加 X 锁,之后解锁 A 和 B,符合两段锁协议;
T2 先对 B 加 S 锁,然后对 A 加 X 锁,之后解锁 B 和 A,符合两段锁协议;
但 T1 持有 A 的 S 锁,请求 B 的 X 锁;T2 持有 B 的 S 锁,请求 A 的 X 锁,形成循环等待,会发生死锁。
因此该调度满足两段锁协议,但会发生死锁,对应选项 B。
【第 55 题】(题型:选择题)
题目:假如该调度已经产生死锁,如果要从事务 T1,T2 中进行回滚以解除死锁,从代价最小的角度考虑,应回滚事务(55)
A.T1   B.T2   C.T1 和 T2   D.T1 或 T2
【答案】B
【解析】
回滚事务的代价主要看事务已经执行的操作数量,从调度图可以看出,T2 已经执行的操作比 T1 少,回滚 T2 的代价更小,因此应回滚事务 T2,对应选项 B。
【第 56-57 题】(题型:选择题)
题目:事务一旦提交,即使在写入数据库前数据尚在内存中而发生故障造成系统重启,该事务的执行结果也必须入数据库,该性质称为事务的(56),为保证这一性质,必须使用(57)
(56) A. 原子性   B. 一致性   C. 隔离性   D. 持久性
(57) A. 镜像   B. 数据库备份   C. 日志   D. 两段锁协议
【答案】(56) D;(57) C
【解析】
(56) 持久性是指事务提交后,其结果永久保存在数据库中,即使发生系统故障也不会丢失,对应选项 D;
(57) 为了保证持久性,数据库系统使用日志记录事务的操作,当发生故障时,可以通过日志恢复事务的结果,对应选项 C。
【第 58-59 题】(题型:选择题)
题目:给定关系模式 R<U,F>,其中 U={ABCDE},F={AB→DE,AC→E,AD→B,B→C,C→D},则 R 的所有候选码为(58), 关系 R 属于(59)
(58) A.AB、AC   B.AB、AD   C.AC、AD   D.AB、AC、AD
(59) A.1NF   B.2NF   C.3NF   D.BCNF
【答案】(58) D;(59) C
【解析】
(58) 候选码的求解:
AB 可以决定 DE,B→C,所以 AB 可以决定 ABCDE,是候选码;
AC 可以决定 E,C→D,AD→B,所以 AC 可以决定 ABCDE,是候选码;
AD 可以决定 B,B→C,AB→DE,所以 AD 可以决定 ABCDE,是候选码;
因此 R 的候选码是 AB、AC、AD,对应选项 D。
(59) 范式的判断:
首先 R 满足 1NF,所有属性都是原子的;
满足 2NF,因为没有非主属性对候选码的部分依赖;
满足 3NF,因为所有非主属性(D、E)对候选码都是传递依赖吗?不,3NF 的定义是不存在非主属性对候选码的传递依赖,或者主属性对候选码的部分依赖。这里的函数依赖中,B→C,C→D,B 和 C 都是主属性(因为候选码是 AB、AC、AD,所以 A、B、C、D 都是主属性,E 是非主属性),主属性之间的传递依赖不违反 3NF,但违反 BCNF;
因此 R 属于 3NF,对应选项 C。
【第 60-61 题】(题型:选择题)
题目:下图所示的 E-R 图中,应作为派生属性的是(60):该 E-R 图应转换的关系模式为(61),其中各关系模式均满足 4NF。
数据库系统工程师-2015年综合知识真题解析【上篇】 第13张
(60) A. 出生日期   B. 年龄   C. 电话   D. 工号
(61) A. 员工(工号,姓名,性别,出生日期,年龄。电话)
B. 员工(工号,姓名,性别,出生日期,电话)
C. 员工(工号,姓名,性别,出生日期,年龄)员工电话(工号,电话)
D. 员工(工号,姓名,性别,出生日期)员工电话(工号,电话)
【答案】(60) B;(61) D
【解析】
(60) 派生属性是可以从其他属性计算得到的属性,年龄可以从出生日期计算得到,属于派生属性;出生日期、电话、工号都是基本属性,对应选项 B;
(61) 派生属性不需要存储在关系中,所以年龄不需要包含在关系模式中;电话是多值属性,需要转换为独立的关系模式,因此正确的关系模式是员工(工号,姓名,性别,出生日期)和员工电话(工号,电话),对应选项 D。
【第 62 题】(题型:选择题)
题目:以下关于面向对象数据库的叙述中,不正确的是(62)
A. 类是一组具有相同或相似性质的对象的抽象。一个对象是某一类的一个实例
B. 类的属性可以是基本类,如整数、字符串等,也可以是包含属性和方法的一般类
C. 类的某个属性的定义可以是该类自身
D. 一个对象通常对应实际领域的一个实体,有唯一的标识,即对象标识 OID,用户可以修改 OID
【答案】D
【解析】
面向对象数据库中,对象标识 OID 是系统自动分配的,唯一且不可修改,用户不能修改 OID;其他选项的描述都是正确的:类是对象的抽象,对象是类的实例;类的属性可以是基本类型或其他类;类的属性可以是自身类型(如链表节点类)。因此不正确的是选项 D。
【第 63 题】(题型:选择题)
题目:MongoDB 是一种 NoSQL 数据库,具体地说,是(63)存储数据库。
A. 键值   B. 文档   C. 图形   D.XML
【答案】B
【解析】
MongoDB 是文档型 NoSQL 数据库,以 BSON(类似 JSON 的二进制格式)文档的形式存储数据;键值存储数据库如 Redis;图形数据库如 Neo4j;XML 数据库如 BaseX。因此答案为 B。
【第 64 题】(题型:选择题)
题目:根据历史数据,确定一个就诊人员是否可能患心脏病,可以采用(64)算法。
A.C4.5   B.Apriori   C.K-means   D.EM
【答案】A
【解析】
C4.5 是分类算法,用于根据历史数据对新数据进行分类,符合题目中判断是否患心脏病的需求;Apriori 是关联规则算法,用于发现数据之间的关联;K-means 和 EM 是聚类算法,用于无监督的分组。因此答案为 A。
【第 65 题】(题型:选择题)
题目:关于聚类算法 K-Means 和 DBSCAN 的叙述中,不正确的是(65)
A.K-Means 和 DBSCAN 的聚类结果与输入参数有很大的关系
B.K-Means 基于距离的概念而 DBSCAN 基于密度的概念进行聚类分析
C.K-Means 很难处理非球形的簇和不同大小的簇,DBSCAN 可以处理不同大小和不同形状的簇
D. 当簇的密度变化较大时,DBSCAN 不能很好的处理,而 K-Means 则可以
【答案】D
【解析】
选项 D 错误,当簇的密度变化较大时,DBSCAN 不能很好处理,因为 DBSCAN 的参数(邻域半径、最小点数)是全局的,无法适应不同密度的簇;而 K-Means 也无法处理密度变化大的簇,因为 K-Means 基于距离,对簇的形状和密度敏感。其他选项的描述都是正确的。
【第 66 题】题型:选择题)
题目:在下图所示的网络配置中,发现工作站 B 无法与服务器 A 通信。(66),故障影响了两者互通。
数据库系统工程师-2015年综合知识真题解析【上篇】 第14张
A. 服务器 A 的 IP 地址是广播地址
B. 工作站 B 的 IP 地址是网络地址
C. 工作站 B 与网关不属于同一子网
D. 服务器 A 与网关不属于同一子网
【答案】D
【解析】
服务器 A 的 IP 地址是 192.168.0.254,子网掩码是 255.255.255.0,网关是 192.168.1.1,服务器 A 的子网是 192.168.0.0,网关的子网是 192.168.1.0,两者不属于同一子网,所以服务器 A 无法通过网关与工作站 B 通信;
工作站 B 的 IP 地址是 192.168.1.254,子网掩码 255.255.255.0,网关是 192.168.1.1,属于同一子网;
服务器 A 的 IP 地址不是广播地址(广播地址是 192.168.0.255);
工作站 B 的 IP 地址不是网络地址(网络地址是 192.168.1.0)。
因此故障原因是服务器 A 与网关不属于同一子网,对应选项 D。
【第 67 题】(题型:选择题)
题目:以下关于 VLAN 的叙述中,属于其优点的是(67)
A. 允许逻辑地划分网段   B. 减少了冲突域的数量
C. 增加了冲突域的大小   D. 减少了广播域的数量
【答案】A
【解析】
VLAN 的主要优点是可以逻辑地划分网段,不受物理位置的限制;VLAN 可以减少广播域的大小,但不会减少广播域的数量;冲突域的数量和大小由交换机的端口决定,与 VLAN 无关。因此答案为 A。
【第 68 题】(题型:选择题)
题目:以下关于 URL 的叙述中,不正确的是(68)
A. 使用www.abc.com和abc.com打开的是同一页面
B. 在地址栏中输入www.abc.com默认使用 http 协议
C.www.abc.com中的 “www” 是主机名
D.www.abc.com中的 “abc.com” 是域名
【答案】A
【解析】
www.abc.com和abc.com是不同的主机名,默认情况下可能指向不同的服务器,不一定打开同一页面;其他选项的描述都是正确的:输入域名默认使用 http 协议;www 是主机名;abc.com是域名。因此不正确的是选项 A。
【第 69-70 题】(题型:选择题)
题目:DHCP 协议的功能是(69);FTP 使用的传输层协议为(70)
(69) A.WINS 名字解析  B. 静态地址分配  C.DNS 名字登录  D. 自动分配 IP 地址
(70) A.TCP   B.IP   C.UDP   D.HDLC
【答案】(69) D;(70) A
【解析】
(69) DHCP(动态主机配置协议)的功能是自动分配 IP 地址和其他网络配置参数,对应选项 D;
(70) FTP(文件传输协议)使用 TCP 作为传输层协议,因为需要可靠的传输;UDP 是无连接的,不适合 FTP;IP 是网络层协议;HDLC 是数据链路层协议。对应选项 A。
【第 71-75 题】(题型:选择题)
题目:Why Have Formal Documents?
First, writing g the decisions down is essential. Only when one writes do the gaps appear and the  (71)  protrude(突出). The act of writing tums out to require hundreds of mini-decisions, and it is the existence of these that distinguishes clear, exact policies from fuzzy ones.
Second, the documents will communicate the decisions to others. The manager will be continually amazed that policies he took for common knowledge are totally unknown by some member of his team. Since his fundamental job is to keep everybody going in the   (72)   direction, his chief daily task will be communication, not decision-making, and his documents will be immensely    (73)      this load.
Finally, a manager's documents give him a data base and checklist. By reviewing them     (74)    he sees where he is, and he sees what changes of emphasis or shifts in direction are needed.
The task of the manager is to develop a plan and then to realize it. But only the written plan is precise and communicable. Such a pl an consists of documents on what, when, how much,where, and who. This small set of critical documents    (75)   much of the managerr's work.If their comprehensive and critical nature is recognized in the-l' beginning, the manager
can approach them as friendly tools rather than annoying busywork. He will set his direction much more crisply and quickly by doing so.
(71) A.inconsistencies  B.consistencies  C.steadiness  D.adaptability
(72) A.other  B.different  C.another  D.same
(73) A.extend  B.broaden  C.lighten  D.release
(74) A.periodically  B.occasionally  C.infrequently  D.rarely
(75) A.decides  B.encapsulates  C.realizes  D.recognizes
【答案】(71) A;(72) D;(73) C;(74) A;(75) B
【解析】
(71) 写作会让漏洞和不一致性显现,inconsistencies 表示不一致性,符合语境;
(72) 经理的工作是让所有人朝着同一个方向前进,same 表示相同的,符合语境;
(73) 文档可以减轻沟通的负担,lighten 表示减轻,符合语境;
(74) 定期回顾文档,periodically 表示定期地,符合语境;
(75) 这些关键文档包含了经理的大部分工作,encapsulates 表示包含、封装,符合语境。

THE  END -

点击下方卡片关注我   点个小赞你必上岸↓↓↓

数据库系统工程师-2015年综合知识真题解析【上篇】 第15张
数据库系统工程师-2015年综合知识真题解析【上篇】 第16张
 点个小“赞” 你必上岸

抱歉,评论功能暂时关闭!