从26届天津市红桥区一模试卷聊聊天津近23年出现四次的“内准圆”类型题

四季读书网 7 0
从26届天津市红桥区一模试卷聊聊天津近23年出现四次的“内准圆”类型题
2026年天津市红桥区高三一模试卷的第18题如下:
从26届天津市红桥区一模试卷聊聊天津近23年出现四次的“内准圆”类型题 第1张
这道题目属于椭圆题目中“内准圆”类型的题目,在天津近23年中已经出现了四次(个人看到的次数,或许出现次数还多)。最早应该是在2003年全国高中数学联赛天津赛区预赛试卷中,当时没有具体的数字,就是用a和b表示
从26届天津市红桥区一模试卷聊聊天津近23年出现四次的“内准圆”类型题 第2张
而在2014年全国高中数学联赛天津赛区预赛试卷中,同类型的题目再次出现,这时候给出了椭圆的方程,这个方程恰好是开头红桥区题目第一问的答案
从26届天津市红桥区一模试卷聊聊天津近23年出现四次的“内准圆”类型题 第3张
在2020届天津市和平区高三第一次月考试卷中,则把这个题目进行了一些“升级”:
从26届天津市红桥区一模试卷聊聊天津近23年出现四次的“内准圆”类型题 第4张
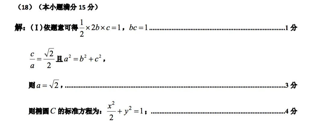
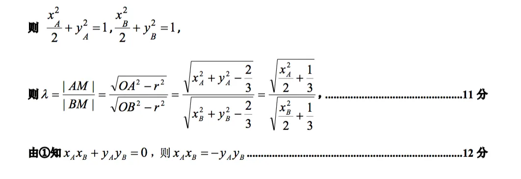
这道题目可以使用三角换元的方法来解答,具体可以参见笔者之前文章《换元法求解圆锥曲线题目》。今年红桥区一模可以认为是天津第四次出现这类的题目,但看题目似似乎更“复杂”一些,使用三角换元的方法同样可以解答这道题目,这里给出标准答案:
从26届天津市红桥区一模试卷聊聊天津近23年出现四次的“内准圆”类型题 第5张从26届天津市红桥区一模试卷聊聊天津近23年出现四次的“内准圆”类型题 第6张从26届天津市红桥区一模试卷聊聊天津近23年出现四次的“内准圆”类型题 第7张从26届天津市红桥区一模试卷聊聊天津近23年出现四次的“内准圆”类型题 第8张从26届天津市红桥区一模试卷聊聊天津近23年出现四次的“内准圆”类型题 第9张
估计在今后的天津高考模拟或月考试卷中,还会再次看到这个类型的题目!

抱歉,评论功能暂时关闭!