中考数学前沿,跟踪全国初三数学最新考情
中考数学前沿,挑战选择/填空/解答压轴题
中考数学前沿,帮你备好中考数学弹药大炮
中考数学前沿,与师同频共振触发解题灵感
中考数学前沿,领你挺进本地市高中前三甲
厦外初三最新月考
第7题,基本统计量
![]() |
![]() |
第8题,反比例函数图象,平行四边形
![]() |
![]() |
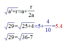
第15题,数学文化
![]() |
![]() |
第16题,抛物线,对称轴,图象与直线有交点
![]() |
![]() |
第24题,二次函数,基础数论,反证法
![]() |
![]() |
第25题,圆,切线,三角形相似,解直角三角形,三角函数值
![]() |
![]() ![]() |
文章来源:
四季读书网
版权声明:本文内容由互联网用户自发贡献,该文观点仅代表作者本人。本站仅提供信息存储空间服务,不拥有所有权,不承担相关法律责任。如发现本站有涉嫌抄袭侵权/违法违规的内容, 请发送邮件至23467321@qq.com举报,一经查实,本站将立刻删除;如已特别标注为本站原创文章的,转载时请以链接形式注明文章出处,谢谢!












