



为了帮助同学们吃透一模试卷中的营养点,双提各科主精心挑选了高三一模的经典题,录制了精讲视频!
各科精讲视频
一、朝阳高三一模导数大题
题目展示

精讲视频
二、石景山高三一模导数大题
题目展示

精讲视频
三、朝阳高三一模语文议论文写作
题目展示:

精讲视频
四、丰台高三一模议论文写作
题目展示:


精讲视频
五、丰台高三一模数学填空压轴
题目展示:

精讲视频
六、朝阳高三一模第10题
题目展示

精讲视频
七、朝阳高三一模第15题
题目展示

精讲视频
七、朝阳高三一模新定义第三问
题目展示

精讲视频
九、朝阳高三一模解析大题
题目展示

精讲视频
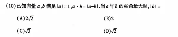
十、顺义高三一模向量压轴题
题目展示

精讲视频
如果看完视频
某些思路还是不清楚
或者试卷中的其他题也有疑惑
可以扫码添加老师
预约一对一分析

一模预测卷分享
这套试卷的命题团队,由拥有20年北京高考研究经验的 “清北级命题天团” 组建,团队精研近10年北京各区一模真题与近五年高考命题趋势,深度贴合2026年北京高考最新命题方向!练透这套卷,既能熟悉一模命题规律,又能实战演练考场规范!


长按识别上方二维码
添加老师免费领取
双提高三一模点睛班
2026北京高三一模已开考!想在考场上会的题稳拿分、难题找对思路、精准避坑提分?「双提一模点睛班」就是你的专属提分利器!
课程覆盖语文、数学、物理、化学、生物5大学科,精准拆解一模高频考点:
数学:120分必会6题型,助你吃透三角导数、立体几何、解析几何、导数等经典题型;
物理:95分必会电磁学原创情景,拆解创新题解题逻辑;
化学:90分必拿实验探究&工业流程,梳理解题思路;
生物:90分必练“基因互作致死类” 题目深度剖析,攻克难点;
语文:作文45+分必备作文话题&新题速递,作文提分有方向;
主讲深耕北京高考命题研究多年,手把手带你排查危机、扫盲复习盲区,精准把握模考 / 高考命题热点。
一模/高考想冲个好成绩的同学,可以扫下方二维码添加老师,细致了解一下课程是否适合你!
