2026哈呼兰区一模数学试卷及答案

四季读书网 8 0
2026哈呼兰区一模数学试卷及答案
2026哈呼兰区一模数学试卷及答案 第1张
2026哈呼兰区一模数学试卷及答案 第2张
2026哈呼兰区一模数学试卷及答案 第3张
2026哈呼兰区一模数学试卷及答案 第4张
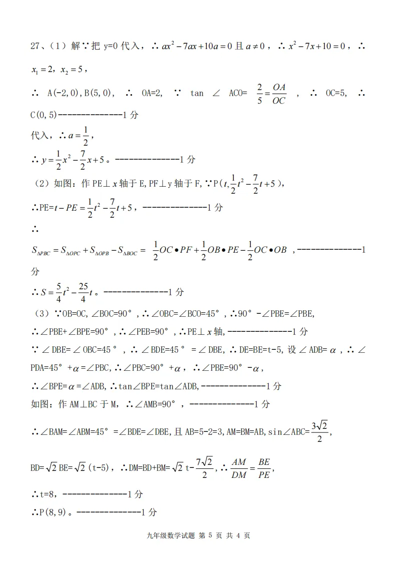
2026哈呼兰区一模数学试卷及答案 第5张
2026哈呼兰区一模数学试卷及答案 第6张
2026哈呼兰区一模数学试卷及答案 第7张
2026哈呼兰区一模数学试卷及答案 第8张
2026哈呼兰区一模数学试卷及答案 第9张
2026哈呼兰区一模数学试卷及答案 第10张

抱歉,评论功能暂时关闭!