2025年四月绍兴市适应性试卷数学(俗称去年二模)果然难哭

四季读书网 1 0
2025年四月绍兴市适应性试卷数学(俗称去年二模)果然难哭
文:空空儿
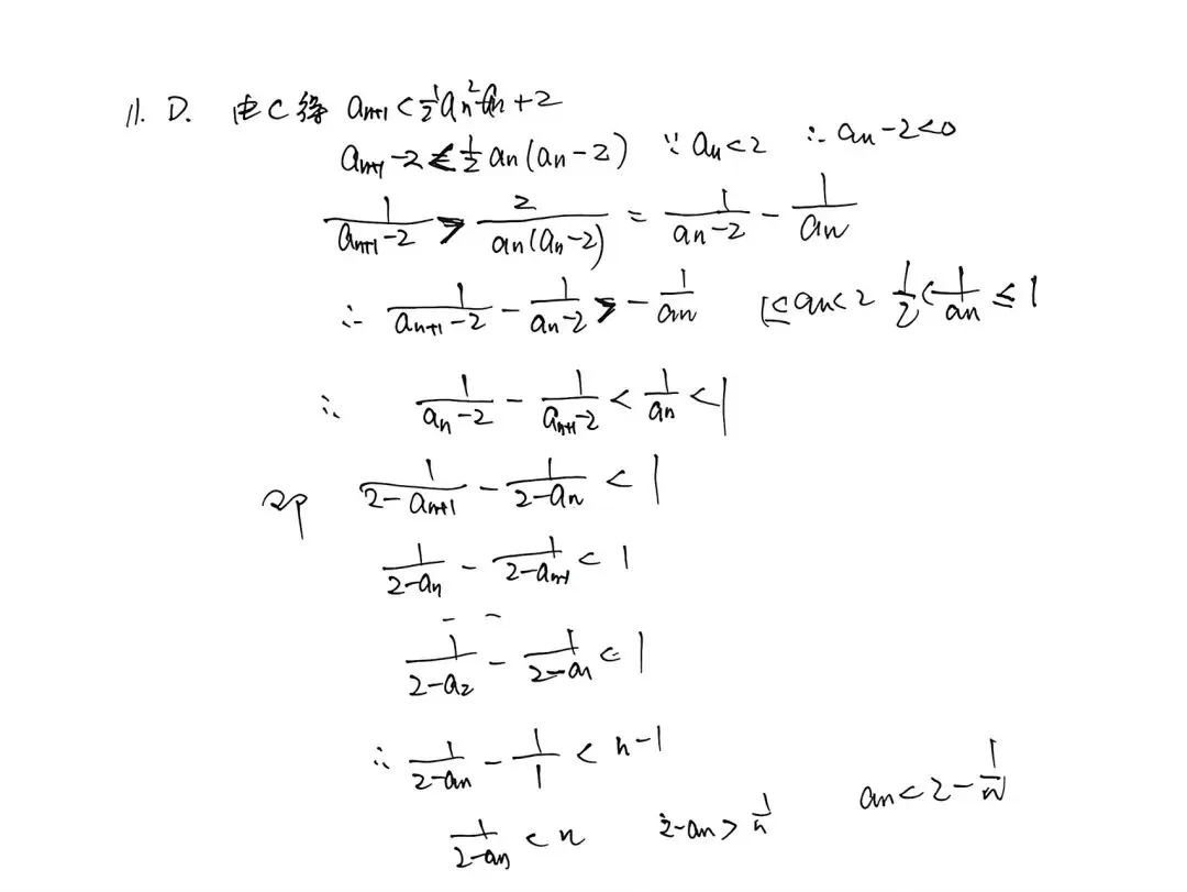
2025年四月绍兴市适应性试卷数学(俗称去年二模)果然难哭 第1张
2025年四月绍兴市适应性试卷数学(俗称去年二模)果然难哭 第2张
2025年四月绍兴市适应性试卷数学(俗称去年二模)果然难哭 第3张
2025年四月绍兴市适应性试卷数学(俗称去年二模)果然难哭 第4张
2025年四月绍兴市适应性试卷数学(俗称去年二模)果然难哭 第5张
上一次画画竟然这么久了。
2025年四月绍兴市适应性试卷数学(俗称去年二模)果然难哭 第6张
2025年四月绍兴市适应性试卷数学(俗称去年二模)果然难哭 第7张
2025年四月绍兴市适应性试卷数学(俗称去年二模)果然难哭 第8张
2025年四月绍兴市适应性试卷数学(俗称去年二模)果然难哭 第9张
2025年四月绍兴市适应性试卷数学(俗称去年二模)果然难哭 第10张
18,19的最后一小题直接上参考答案。
2025年四月绍兴市适应性试卷数学(俗称去年二模)果然难哭 第11张

抱歉,评论功能暂时关闭!