上海市黄浦区2025年九年级学业水平考试模拟考数学试题

四季读书网 9 0
上海市黄浦区2025年九年级学业水平考试模拟考数学试题
上海市黄浦区2025年九年级学业水平考试模拟考数学试题 第1张
上海市黄浦区2025年九年级学业水平考试模拟考数学试题 第2张
上海市黄浦区2025年九年级学业水平考试模拟考数学试题 第3张
上海市黄浦区2025年九年级学业水平考试模拟考数学试题 第4张
上海市黄浦区2025年九年级学业水平考试模拟考数学试题 第5张
上海市黄浦区2025年九年级学业水平考试模拟考数学试题 第6张
上海市黄浦区2025年九年级学业水平考试模拟考数学试题 第7张
上海市黄浦区2025年九年级学业水平考试模拟考数学试题 第8张
上海市黄浦区2025年九年级学业水平考试模拟考数学试题 第9张
上海市黄浦区2025年九年级学业水平考试模拟考数学试题 第10张
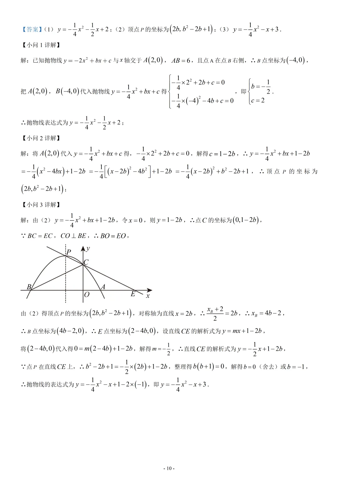
上海市黄浦区2025年九年级学业水平考试模拟考数学试题 第11张

抱歉,评论功能暂时关闭!