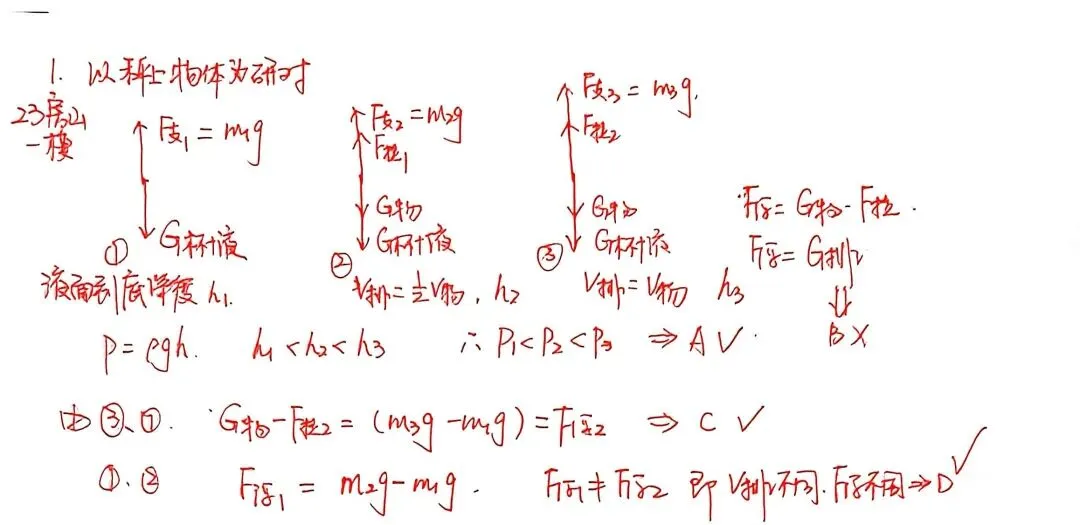
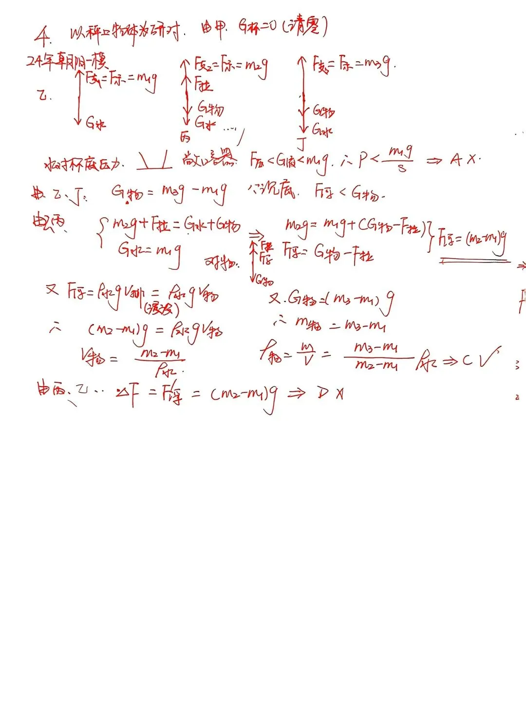
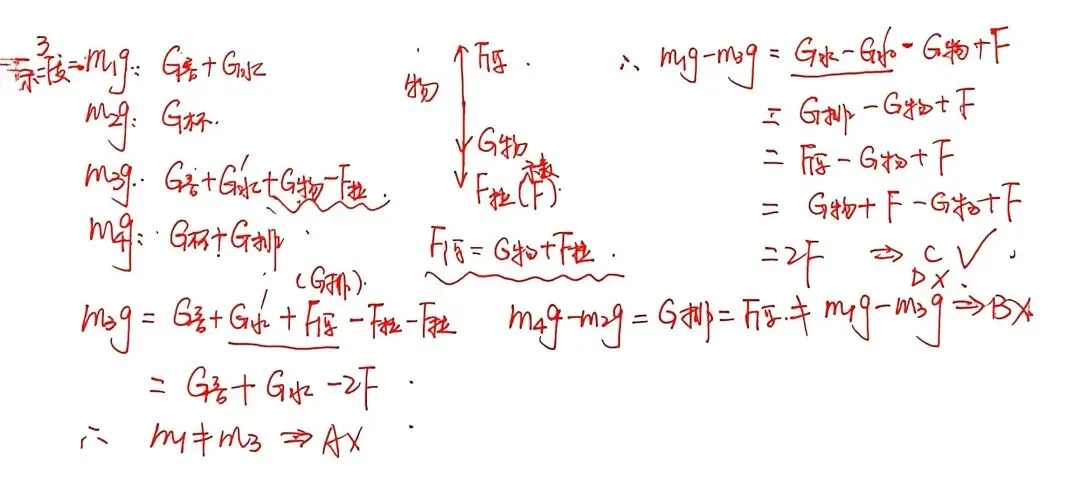
台秤的题目不是一定会遇到,但是首次遇见容易出错,不用在意题干的长度和图片的多少,解题还是基本方法:1.读题,圈点勾画已知条件,2.按照已知条件进行分析,边读题边分析,把所有能分析的结果都分析出来,基本题也就解出来啦,注意物理量加入小标,以免对应错误3.力学版块离不开受力分析,整体法分析,隔离法分析。
本期主打类型大致分为:
一,杯内水不满,物体放入后,水不溢出
此时利用整体法,将杯子、水、物体看作一个整体,它们之间的力则不考虑。对外界即电子秤的压力则为三者重力相加。
类似你称体重时,衣服无论是穿在身上、拿在手上或是系在腰间,秤得的体重都相同,都是你和衣服的总重,因此内部之间的相互作用力,不考虑。












文章来源:
四季读书网
版权声明:本文内容由互联网用户自发贡献,该文观点仅代表作者本人。本站仅提供信息存储空间服务,不拥有所有权,不承担相关法律责任。如发现本站有涉嫌抄袭侵权/违法违规的内容, 请发送邮件至23467321@qq.com举报,一经查实,本站将立刻删除;如已特别标注为本站原创文章的,转载时请以链接形式注明文章出处,谢谢!