南通二模(这次也作苏北七市模拟)的答案今天出炉。这张试卷,绝对是新高考的风向标!所以我们再发一次,把答案更新在推文里。
这张试卷的每一道题,都让人爱不释手。
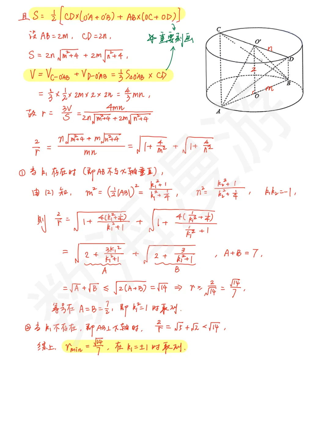
无论是选填压轴题:第7、8题——从课本简单结论出发,稍作创新;第11题——引入新定义函数,但四个选项联系紧密;第14题——形式简洁,难度不大,只考察基础计算;还是大题压轴:第18题——解析几何结合立体几何,预测今年高考方向,“隐藏”二级结论(1/|OA|^2+1/|OC'|^2为定值),形式新颖、吓人,内核自然、流畅;第19题——巧妙结合2024年新I卷+2025年全国二卷压轴题考点,形式新颖,难度较大,但不超出高考范围。
这是今年唯一一张我在考试结束当天,就手写了7面较难题解析的市级模拟卷,其优美度、稀缺性与重要性可见一斑。这份试卷的难度梯度、创新程度均接近高考真题,是这届高三学生必做的一份模拟卷。
↓↓↓ 百度网盘试卷(限10000人)↓↓↓

较难题解析







★ 今日福利:转发此推文至朋友圈集赞20个及以上,截图发送至微信:shuhaimanyou666,即可进入价值千元的【26届模拟好卷群】或【26届数学题讨论群】,集赞40个及以上可同时加入两个群,或在购买数海漫游官方课程时减免100元(不可叠加)。
试题




参考答案






老师同学可以关注小红薯、B站账号:数海漫游
其他问题可以联系官方微信:shuhaimanyou666
数海漫游官方QQ群:972139975
考生必看:绝密数列压轴题讲义公开!你会几道?