大连第二十四中学2026年高三第一次模拟考试数学试卷

四季读书网 11 0
大连第二十四中学2026年高三第一次模拟考试数学试卷
大连第二十四中学2026年高三第一次模拟考试数学试卷 第1张
大连第二十四中学2026年高三第一次模拟考试数学试卷 第2张
大连第二十四中学2026年高三第一次模拟考试数学试卷 第3张
大连第二十四中学2026年高三第一次模拟考试数学试卷 第4张
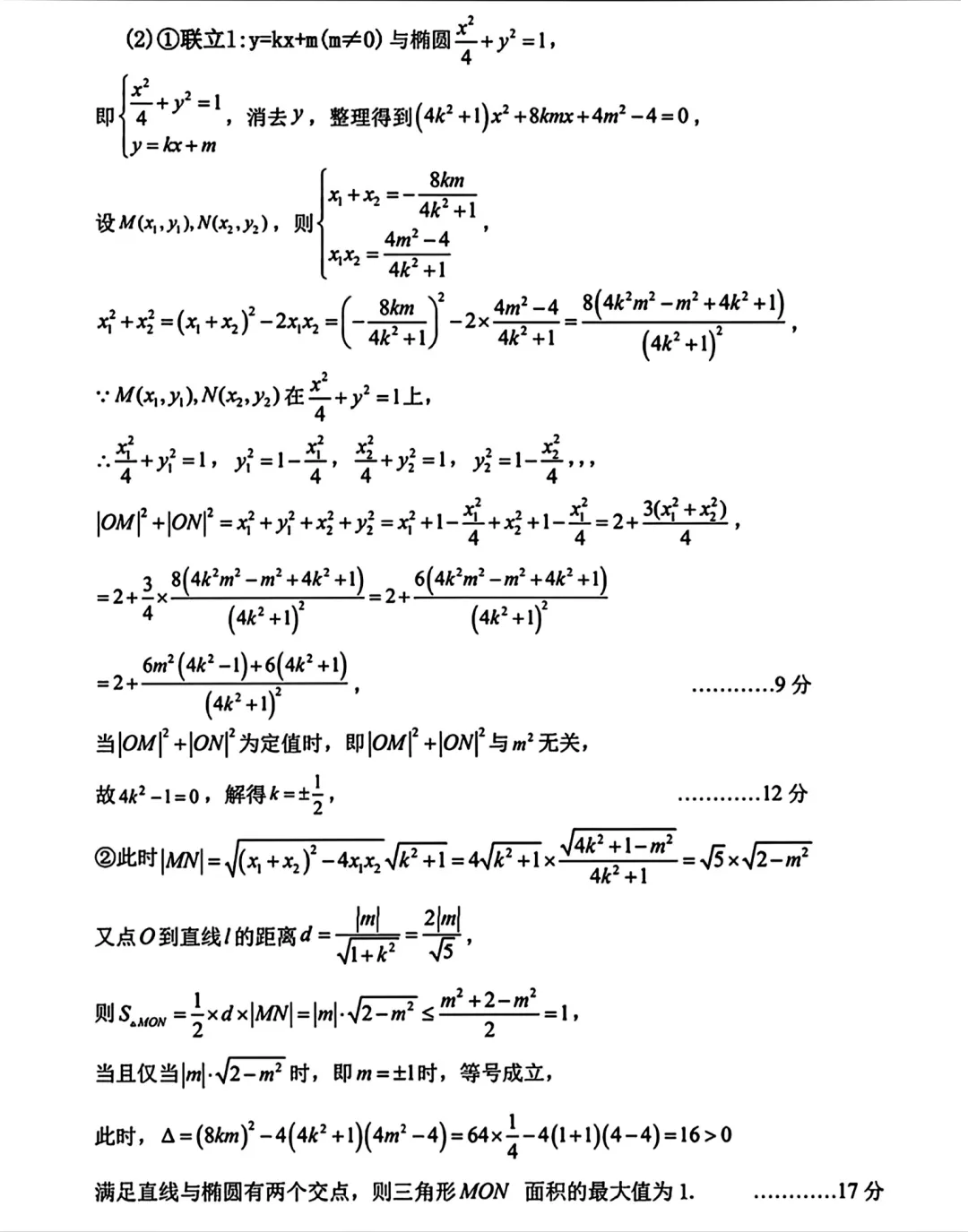
大连第二十四中学2026年高三第一次模拟考试数学试卷 第5张
大连第二十四中学2026年高三第一次模拟考试数学试卷 第6张
大连第二十四中学2026年高三第一次模拟考试数学试卷 第7张
大连第二十四中学2026年高三第一次模拟考试数学试卷 第8张
大连第二十四中学2026年高三第一次模拟考试数学试卷 第9张
大连第二十四中学2026年高三第一次模拟考试数学试卷 第10张
辽宁大连市第二十四中学2026届高三下学期第一次模拟考试数学试卷.pdf

抱歉,评论功能暂时关闭!