2020年7月浙江学考真题解析分享
浙江数学学考真题
选择压轴题,填空压轴题,解答压轴题
立体几何动点轨迹
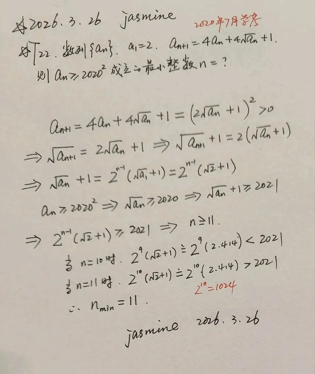
数列通项公式推导
含参绝对值函数,绝对值不等式放缩
想拿A等级同学必做
后续接着分享2021年1月学考真题解析






文章来源:
四季读书网
版权声明:本文内容由互联网用户自发贡献,该文观点仅代表作者本人。本站仅提供信息存储空间服务,不拥有所有权,不承担相关法律责任。如发现本站有涉嫌抄袭侵权/违法违规的内容, 请发送邮件至23467321@qq.com举报,一经查实,本站将立刻删除;如已特别标注为本站原创文章的,转载时请以链接形式注明文章出处,谢谢!