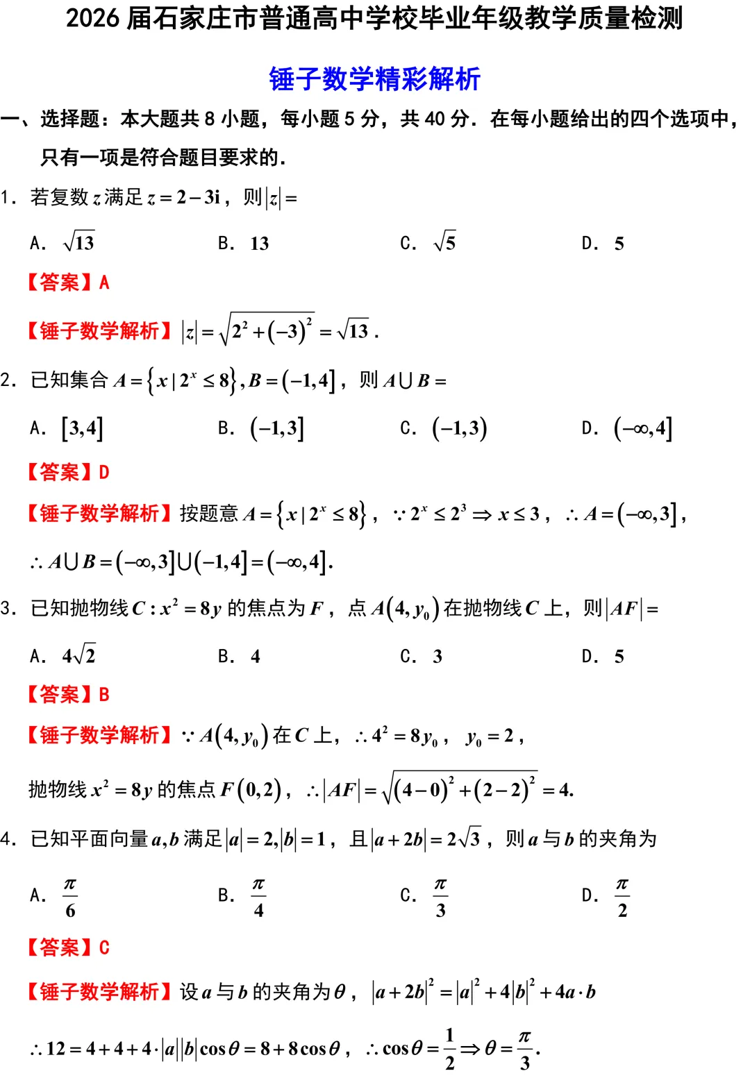
新高考地区刚考完的石家庄一模整张卷子知识点跨度大,难度不低,计算量大。其中第8题,如果没有看出阿波罗尼斯圆,直接在圆上设点硬算,那式子能写满一页,算到最后还不一定对。但如果看到距离比,想到轨迹是圆,那问题变成两个圆有没有公共点,后面的计算就很简单了。
第11题,四个选项从线面关系到体积计算,从线面角到外接球,几乎把空间几何的核心考点全揉进去了。D选项球面与侧面的交线,这玩意儿你要是只盯着立体图看,肯定头大。但先把不变量定下来,用向量把整个模型参数化,问题一下就清晰了。
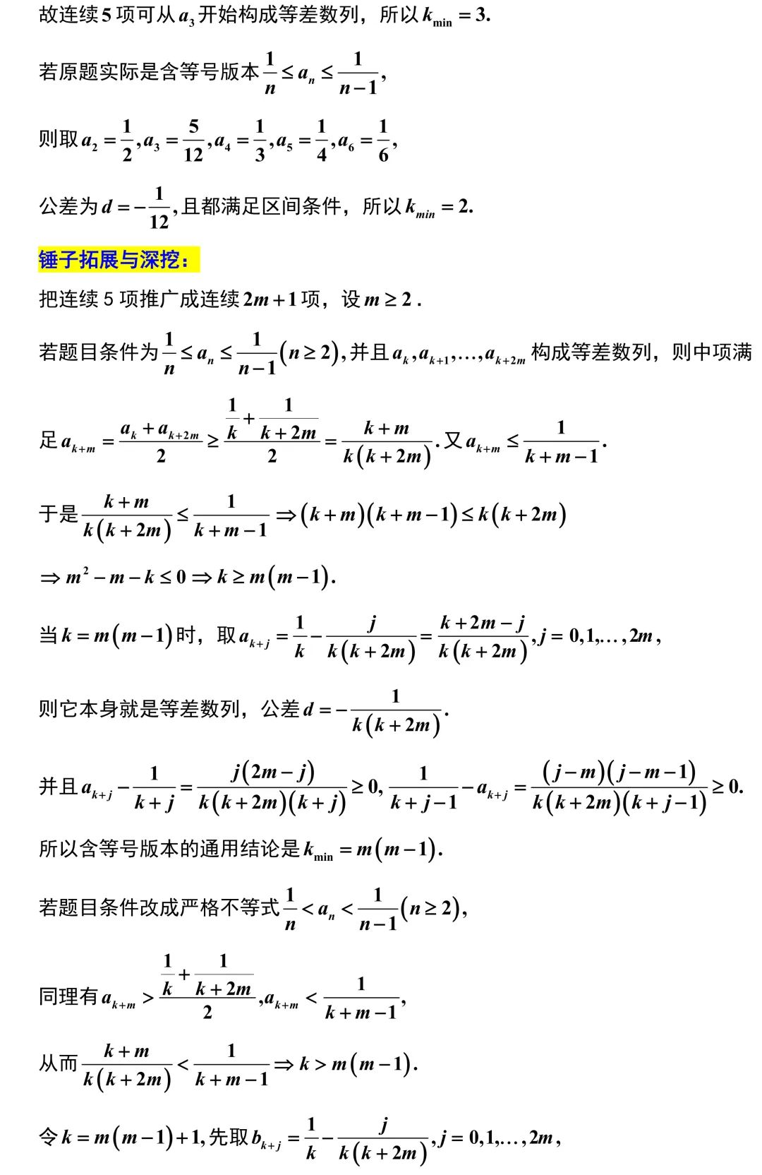
第14题,这题要是死命去解不等式,可能也解得出来,但利用等差中项的性质,把范围卡住,然后通过构造具体的数列来验证最值。这种思维上的灵活劲,正是高三冲刺阶段最需要积累的。
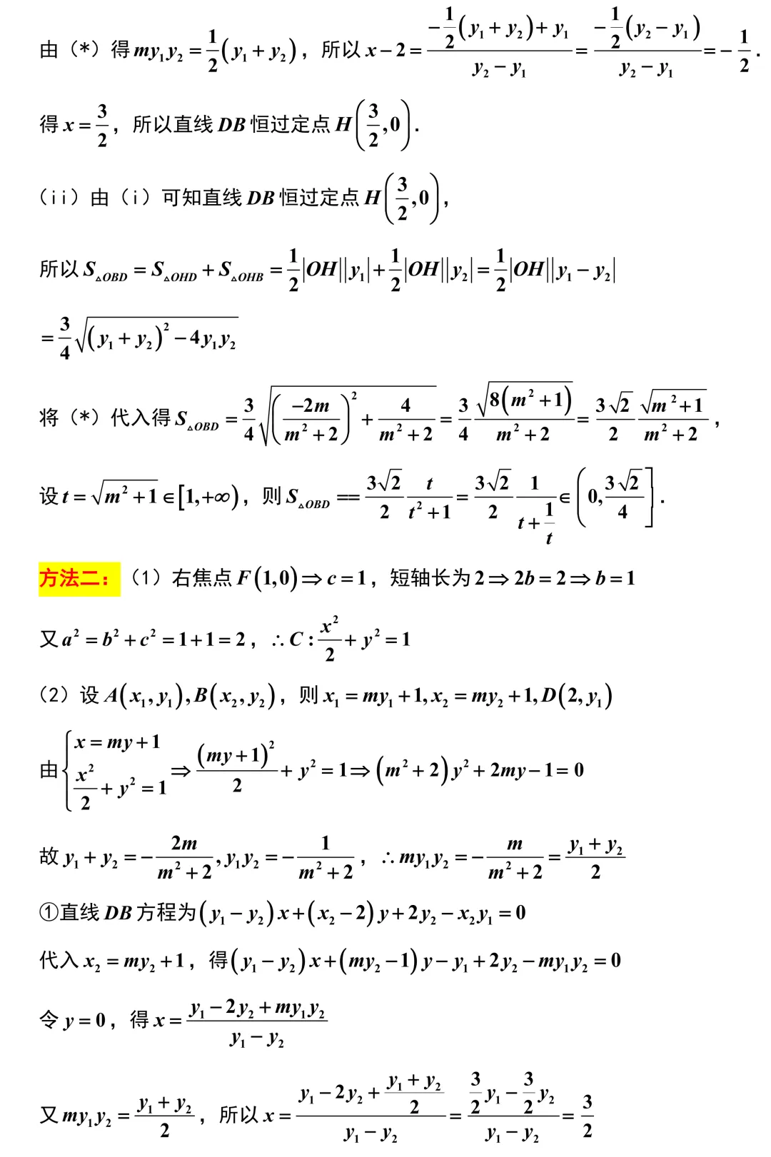
第18题,第一问求椭圆方程是送分,第二问设出直线方程,联立,用韦达定理,一步步走,虽然式子看着长,但方向是清晰的,每一步都有据可循。计算量是有,但不是无脑的堆砌,每一步化简都有它的道理,错一个符号可能就出不来了,要求基本功必须扎实。求面积范围,化简到最后,面积只跟一个参数有关,之前的复杂都化成了简单。
第19题,前两问求导、求极值点,都是常规操作,第三问,它突然拐了个弯证明两个集合是“互补覆盖”。借助Beatty定理的结论,一下子就豁然开朗了。这其实就是数学的魅力所在:一个看似和导数无关的问题,最后却能用导数的思想来解。
整体命题质量相当不错!值得大家花时间做一遍!
























