【真题速递】2026苏锡常镇高三一模真题解析+讲解!

四季读书网 15 0
【真题速递】2026苏锡常镇高三一模真题解析+讲解!
【 数理化精选题讲解 】
【真题速递】2026苏锡常镇高三一模真题解析+讲解! 第1张
【 数学真题 】
【真题速递】2026苏锡常镇高三一模真题解析+讲解! 第2张
【真题速递】2026苏锡常镇高三一模真题解析+讲解! 第3张
【真题速递】2026苏锡常镇高三一模真题解析+讲解! 第4张
【真题速递】2026苏锡常镇高三一模真题解析+讲解! 第5张
【真题速递】2026苏锡常镇高三一模真题解析+讲解! 第6张
【真题速递】2026苏锡常镇高三一模真题解析+讲解! 第7张
【真题速递】2026苏锡常镇高三一模真题解析+讲解! 第8张
【真题速递】2026苏锡常镇高三一模真题解析+讲解! 第9张
【真题速递】2026苏锡常镇高三一模真题解析+讲解! 第10张
【真题速递】2026苏锡常镇高三一模真题解析+讲解! 第11张
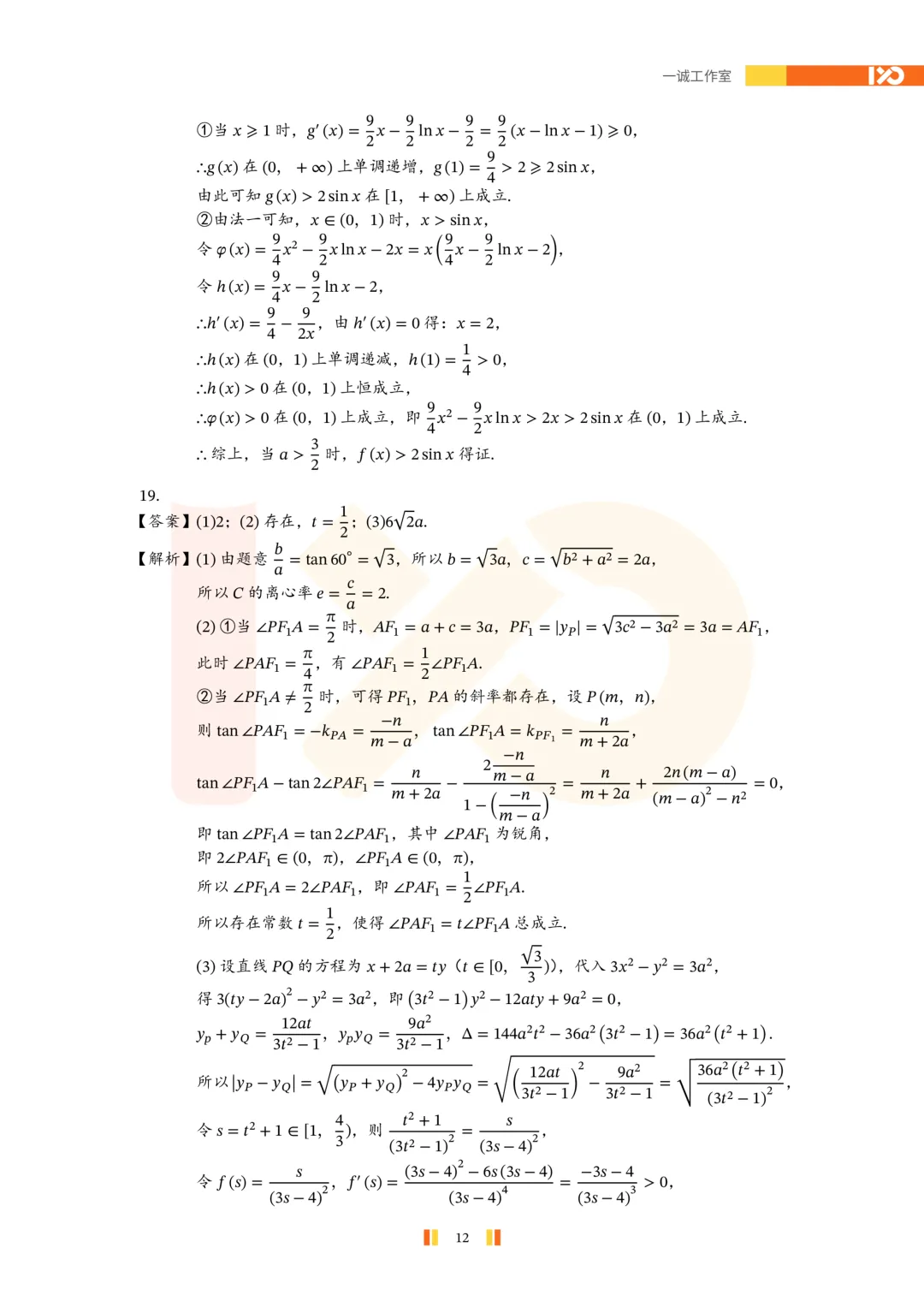
【真题速递】2026苏锡常镇高三一模真题解析+讲解! 第12张
【真题速递】2026苏锡常镇高三一模真题解析+讲解! 第13张
【真题速递】2026苏锡常镇高三一模真题解析+讲解! 第14张
【 物理真题 
【真题速递】2026苏锡常镇高三一模真题解析+讲解! 第15张
【真题速递】2026苏锡常镇高三一模真题解析+讲解! 第16张
【真题速递】2026苏锡常镇高三一模真题解析+讲解! 第17张
【真题速递】2026苏锡常镇高三一模真题解析+讲解! 第18张
【真题速递】2026苏锡常镇高三一模真题解析+讲解! 第19张
【真题速递】2026苏锡常镇高三一模真题解析+讲解! 第20张
【真题速递】2026苏锡常镇高三一模真题解析+讲解! 第21张
【真题速递】2026苏锡常镇高三一模真题解析+讲解! 第22张
【真题速递】2026苏锡常镇高三一模真题解析+讲解! 第23张
【 化学真题 
【真题速递】2026苏锡常镇高三一模真题解析+讲解! 第24张
【真题速递】2026苏锡常镇高三一模真题解析+讲解! 第25张
【真题速递】2026苏锡常镇高三一模真题解析+讲解! 第26张
【真题速递】2026苏锡常镇高三一模真题解析+讲解! 第27张
【真题速递】2026苏锡常镇高三一模真题解析+讲解! 第28张
【真题速递】2026苏锡常镇高三一模真题解析+讲解! 第29张
【真题速递】2026苏锡常镇高三一模真题解析+讲解! 第30张
【真题速递】2026苏锡常镇高三一模真题解析+讲解! 第31张
【真题速递】2026苏锡常镇高三一模真题解析+讲解! 第32张
【真题速递】2026苏锡常镇高三一模真题解析+讲解! 第33张
【真题速递】2026苏锡常镇高三一模真题解析+讲解! 第34张
【真题速递】2026苏锡常镇高三一模真题解析+讲解! 第35张
【真题速递】2026苏锡常镇高三一模真题解析+讲解! 第36张
【真题速递】2026苏锡常镇高三一模真题解析+讲解! 第37张
【真题速递】2026苏锡常镇高三一模真题解析+讲解! 第38张
【真题速递】2026苏锡常镇高三一模真题解析+讲解! 第39张

抱歉,评论功能暂时关闭!