2026年南通市通州区高考数学模拟试卷

四季读书网 10 0
2026年南通市通州区高考数学模拟试卷
2026年南通市通州区高考数学模拟试卷 第1张
2026年南通市通州区高考数学模拟试卷 第2张
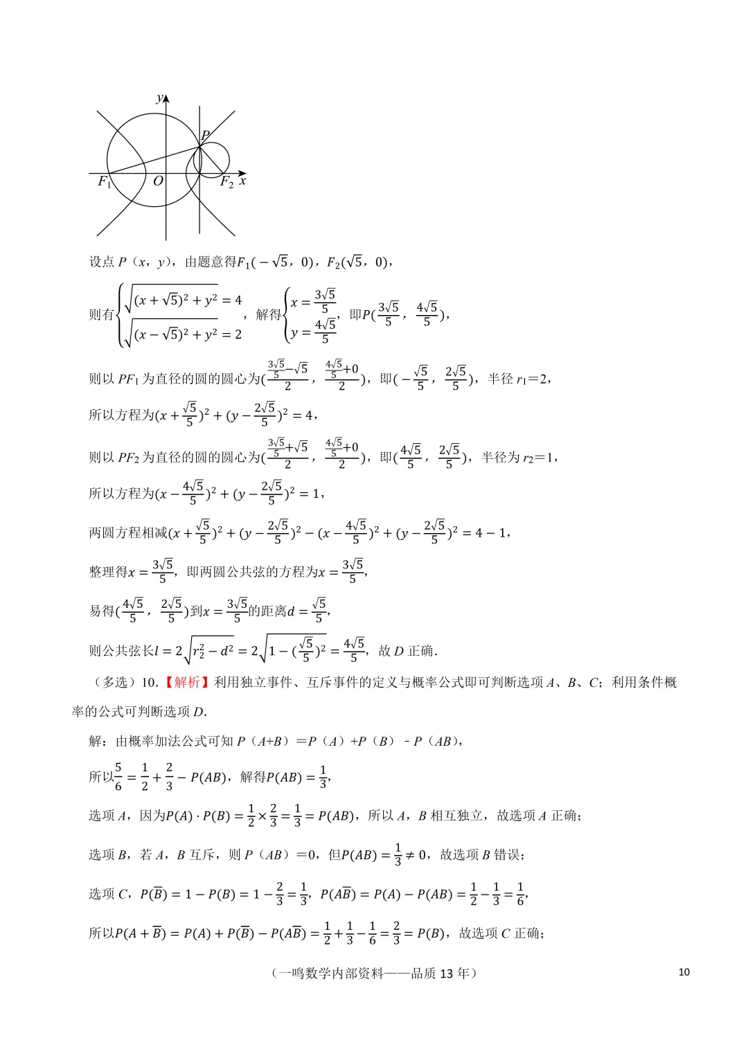
2026年南通市通州区高考数学模拟试卷 第3张
2026年南通市通州区高考数学模拟试卷 第4张
2026年南通市通州区高考数学模拟试卷 第5张
2026年南通市通州区高考数学模拟试卷 第6张
2026年南通市通州区高考数学模拟试卷 第7张
2026年南通市通州区高考数学模拟试卷 第8张
2026年南通市通州区高考数学模拟试卷 第9张
2026年南通市通州区高考数学模拟试卷 第10张
2026年南通市通州区高考数学模拟试卷 第11张
2026年南通市通州区高考数学模拟试卷 第12张
2026年南通市通州区高考数学模拟试卷 第13张
2026年南通市通州区高考数学模拟试卷 第14张
2026年南通市通州区高考数学模拟试卷 第15张
2026年南通市通州区高考数学模拟试卷 第16张
2026年南通市通州区高考数学模拟试卷 第17张
2026年南通市通州区高考数学模拟试卷 第18张
2026年南通市通州区高考数学模拟试卷.pdf(点击下载电子版)

抱歉,评论功能暂时关闭!