

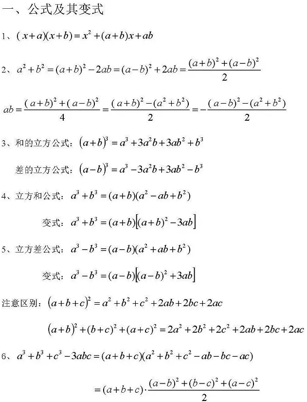
"二级结论"是由基本定理和公式导出的推论,这些推论在做题时出现率高,但推导繁杂,因此熟记这些"二级结论",在做填空题或选择题时,可直接使用节省时间。在做压轴题时,虽不能直接引用,但可预知结果,简化计算和提高思维起点,也是很有用的!





















上期推荐:点击下方文字查阅
昆明市2025年各民办高中学费、住宿费统计表!
2026年《云南省初中学业水平考试指导丛书》各学科新变化汇总!
云南中考2026年化学、物理“参考试卷”!
云南中考2026年化学2套“模拟试卷”评分标准!
2026年云南省初中学业水平考试地理、生物模拟试卷(参考试卷)!云南将新增一所普通高中!
2025年昆明市普通高中各学校录取分数汇总!
云南将新增一所普通高中!
2025年昆明市普通高中各学校录取分数汇总!
2026年3月23日第4372期 我们的生活已进入大数据、智慧城市、云计算、移动互联的时代,春城选刊全面开启的服务“多功能模式”,让你本地生活更轻松。春城选刊尊重原创和版权,如有侵权问题,请在后台留言,或者联系春城选刊客服刘雨艳(微信:liuyuyanqmqx)核实处理。 

文章来源:
四季读书网
版权声明:本文内容由互联网用户自发贡献,该文观点仅代表作者本人。本站仅提供信息存储空间服务,不拥有所有权,不承担相关法律责任。如发现本站有涉嫌抄袭侵权/违法违规的内容, 请发送邮件至23467321@qq.com举报,一经查实,本站将立刻删除;如已特别标注为本站原创文章的,转载时请以链接形式注明文章出处,谢谢!