1、百度网盘链接: https://pan.baidu.com/s/1eqzY0owOzOF9Z0jpxniQHg?pwd=6m16 提取码: 6m16
2、夸克网盘链接:https://pan.quark.cn/s/e79edb082cd8


























推荐3本高考数学提分专题书
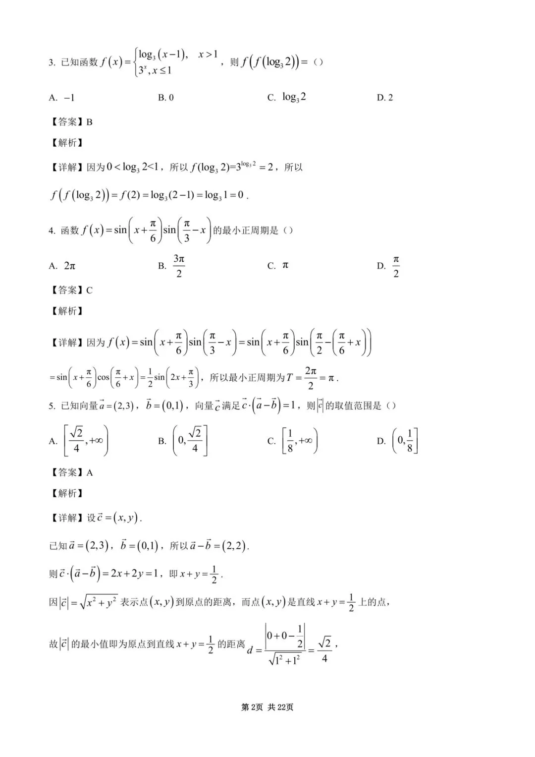
点击小程序极米数学工作室购买
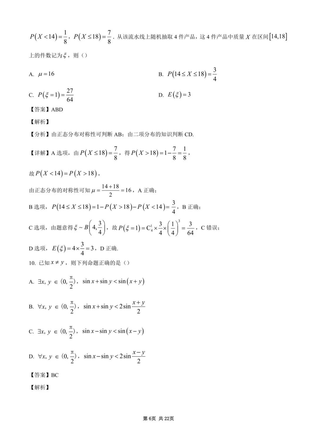
文章来源:
四季读书网
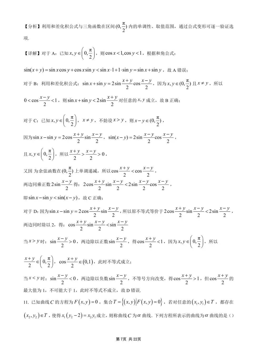
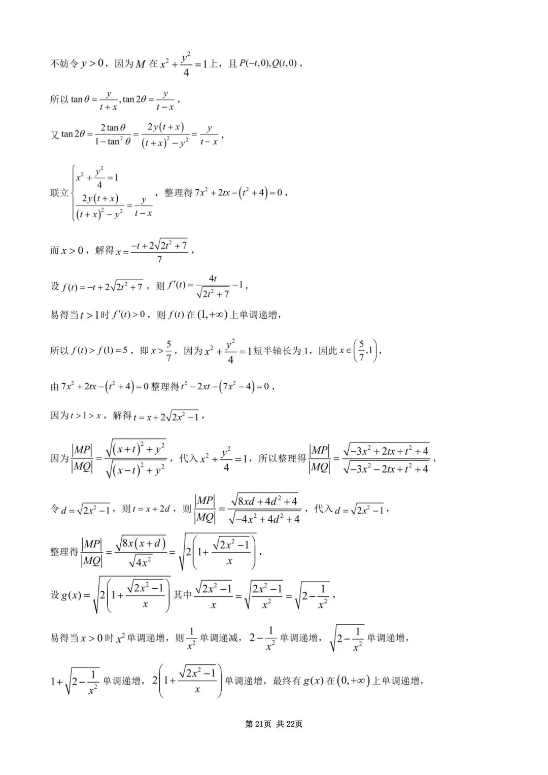
版权声明:本文内容由互联网用户自发贡献,该文观点仅代表作者本人。本站仅提供信息存储空间服务,不拥有所有权,不承担相关法律责任。如发现本站有涉嫌抄袭侵权/违法违规的内容, 请发送邮件至23467321@qq.com举报,一经查实,本站将立刻删除;如已特别标注为本站原创文章的,转载时请以链接形式注明文章出处,谢谢!