【全科】四川省石室中学2026届高三二诊模拟考试

四季读书网 11 0
【全科】四川省石室中学2026届高三二诊模拟考试

【全科】四川省石室中学2026届高三二诊模拟考试 第1张

今日分享:【全科】四川省石室中学2026届高三二诊模拟考试

【全科】四川省石室中学2026届高三二诊模拟考试 第2张
【部分科目展示】
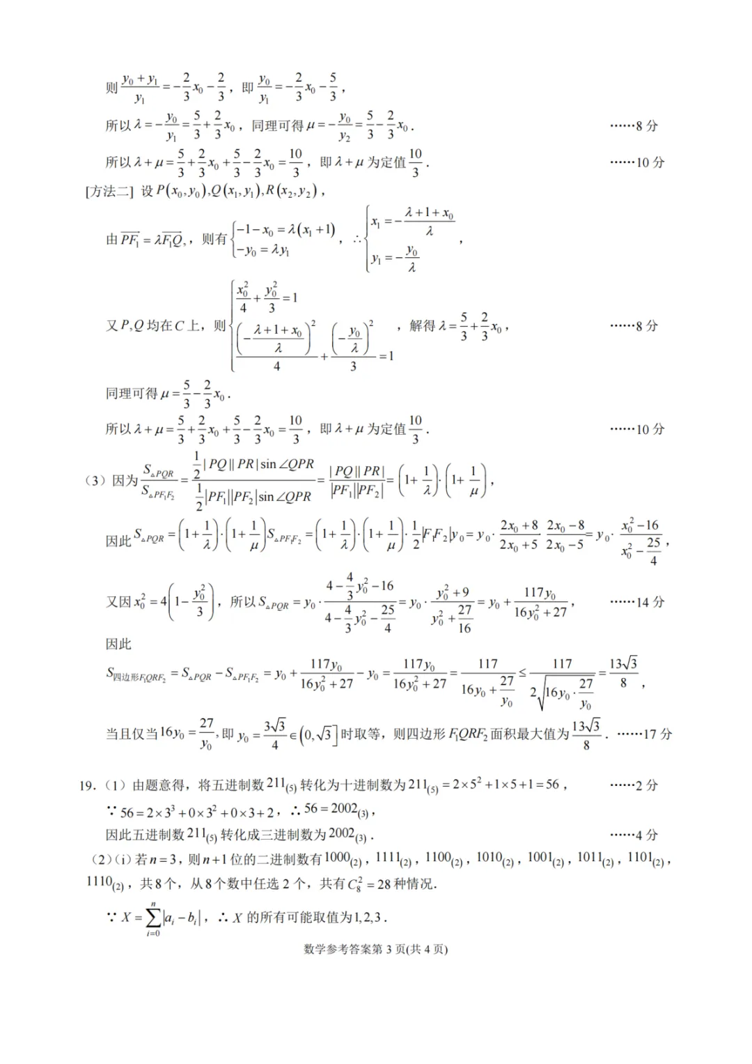
数学
【全科】四川省石室中学2026届高三二诊模拟考试 第3张
【全科】四川省石室中学2026届高三二诊模拟考试 第4张
【全科】四川省石室中学2026届高三二诊模拟考试 第5张
【全科】四川省石室中学2026届高三二诊模拟考试 第6张
【全科】四川省石室中学2026届高三二诊模拟考试 第7张
【全科】四川省石室中学2026届高三二诊模拟考试 第8张
【全科】四川省石室中学2026届高三二诊模拟考试 第9张
【全科】四川省石室中学2026届高三二诊模拟考试 第10张
【全科试卷及标答图片版公布

01

无水印全科资料

【全科】四川省石室中学2026届高三二诊模拟考试 第11张

02

非全科无水印资料

【全科】四川省石室中学2026届高三二诊模拟考试 第12张
【全科】四川省石室中学2026届高三二诊模拟考试 第13张

往期推荐

【全科】四川省石室中学2026届高三二诊模拟考试 第14张
【全科】四川省石室中学2026届高三二诊模拟考试 第15张

①                                      

【全科】四川省石室中学2026届高三二诊模拟考试 第16张
【全科】四川省石室中学2026届高三二诊模拟考试 第17张

点赞

收藏

转发模板

抱歉,评论功能暂时关闭!